Книга Полный медицинский справочник фельдшера, страница 171 – П. Вяткина

Авторы: А Б В Г Д Е Ж З И Й К Л М Н О П Р С Т У Ф Х Ч Ш Ы Э Ю Я
Книги: А Б В Г Д Е Ж З И Й К Л М Н О П Р С Т У Ф Х Ц Ч Ш Щ Ы Э Ю Я
Бесплатная онлайн библиотека LoveRead.me

Онлайн книга «Полный медицинский справочник фельдшера»

📃 Cтраница 171

Степень зрелости ядер нейтрофилов определяется индексом сдвига ядер. Индекс сдвига ядер (ИС) вычисляется по формуле:

Иллюстрация к книге — Полный медицинский справочник фельдшера [Autogen_eBook_id58.jpg]

В норме ИС составляет 0,06.

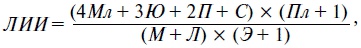
При тяжелом течении воспалительного процесса рассчитывается лейкоцитарный индекс интоксикации (ЛИИ) по формуле:

Иллюстрация к книге — Полный медицинский справочник фельдшера [Autogen_eBook_id59.jpg]

где Мл – миелоциты, Ю – юные, П – палочкоядерные, С – сегментоядерные, Пл – плазматические клетки, М – моноциты, Л – лимфоциты, Э – эозинофилы.

В норме ЛИИ – 0,3–1,5.

При некоторых видах патологии, сопровождающихся выраженной интоксикацией, гранулы нейтрофилов могут приобрести грубые очертания, темную окраску из-за нарушения процесса дегрануляции. Этот характер зернистости называется токсической (токсогенной) зернистостью. Определяется она в окрашенных мазках крови. В норме ее содержат 0–2 % клеток.

Сдвиг лейкоцитарной формулы

Сдвиг лейкоцитарной формулы влево имеет место при:

1) инфекциях, отравлениях;

2) после кровотечений;

3) хирургических вмешательствах;

4) гематологических заболеваниях;

5) аномалии Пельгера – Хьюэта.

Сдвиг лейкоцитарной формулы вправо имеет место при:

1) мегалобластических анемиях;

2) болезнях печени и почек;

3) наследственной гиперсегментации.

Снижение числа нейтрофилов (нейтропения) обычно сочетается с лейкопенией и наблюдается при:

1) вирусных инфекциях (гепатит, корь, грипп);

2) инфекциях, вызванных простейшими (гистоплазмоз, токсоплазмоз, малярия);

3) риккетсиозных инфекциях;

4) агранулоцитозе;

5) лечении цитостатиками и ионизирующим излучением;

6) приеме некоторых медикаментов (производных пиразолона, нестероидных противовоспалительных препаратов, анти биотиков, препаратов золота);

7) хронических, длительно протекающих бактериальных инфекциях (туберкулез, бруцеллез).

Изменение числа эозинофилов

Увеличение числа эозинофилов (эозинофилия) наблюдается при:

1) аллергических заболеваниях;

2) бронхиальной астме;

3) паразитарных заболеваниях;

4) инфекционных заболеваниях;

5) в период выздоровления после инфекционного заболевания («алая заря выздоровления»);

6) глистных инвазиях;

7) опухолях;

8) лимфогранулематозе;

9) остром лейкозе;

10) хроническом миелолейкозе;

11) приеме лекарственных препаратов (антибиотики).

Снижение числа эозинофилов (эозинопения) наблюдается при:

1) воздействии гормонов надпочечников и АКТГ;

2) реакции на разного рода стрессы (острые инфекции, сепсис, травмы, ожоги, хирургические вмешательства, физическое перенапряжение).

Появление эозинофилов в крови в этих случаях является благоприятным прогностическим признаком.

Изменение числа базофилов

Увеличение количества базофилов (базофилия) наблюдается при:

1) аллергических состояниях;

2) остром лейкозе;

3) хронических миелопролиферативных синдромах (хронический миелоидный лейкоз, миелофиброз, эритремия);

4) хронических воспалительных состояниях желудочно-кишечного тракта;

5) гипофункции щитовидной железы;

6) лечении эстрогенами.

Снижение числа базофилов (базопения) наблюдается при:

1) острых инфекциях;

2) гиперфункции щитовидной железы;

3) стрессе.

Изменение числа лимфоцитов

Увеличение числа лимфоцитов (лимфоцитоз)

I. Увеличение абсолютного числа лимфоцитов различается:

1) реактивные лимфоцитозы с обычными лимфоцитами (вирусная инфекция (грипп); острый инфекционный лимфоцитоз; коклюш);

2) реактивные лимфоцитозы с реактивными лимфоцитами (вирусная инфекция (аденовирус); инфекционный мононуклеоз; острый вирусный гепатит; цитомегаловирус);

3) гиперпластические заболевания лимфатической системы (хронический лимфатический лейкоз; макроглобулинемия Вальденстрема.

II. Относительный лимфоцитоз с реактивными лимфоцитами (токсоплазмоз; вирусные заболевания (корь, краснуха, паротит, ветрянка; иммунологические заболевания; туберкулез, сифилис, малярия, бруцеллез, дифтерия).

Без реактивных лимфоцитов нейтропении.

Уменьшение числа лимфоцитов (лимфопения) наблюдается при:

1) панцитопении;

2) приеме кортикостероидов;

3) тяжелых вирусных заболеваниях;

4) злокачественных новообразованиях;

5) почечной недостаточности;

6) недостаточности кровообращения.

Изменение числа моноцитов

Увеличение числа моноцитов (моноцитоз) наблюдается при:

1) бактериальных инфекциях (туберкулез, сифилис, бруцеллез, эндокардит);

2) в период выздоровления после острых состояний;

3) заболеваниях, вызванных простейшими;

4) воспалительных реакциях;

5) хирургических вмешательствах;

6) коллагенозах;

7) лейкозах (моноцитарный, миеломоноцитарный).

Снижение числа моноцитов (моноцитопения) наблюдается при:

1) инфекциях с нейтропенией;

2) после лечения глюкокортикостероидами.

Наследственные аномалии лейкоцитов

Пельгеровская аномалия

Пельгеровская аномалия (пельгеровский семейный вариант лейкоцитов) (Е. А. Кост, 1975 г.) – это изменение крови, наследуемое по доминантному типу, при котором нарушается процесс сегментации ядер нейтрофильных лейкоцитов (рис. 22).

Иллюстрация к книге — Полный медицинский справочник фельдшера [Autogen_eBook_id60.jpg]
Рис. 22. Варианты патологических изменений лейкоцитов в крови: а – костный мозг при миеломной болезни; б – пельгеровская аномалия нейтрофилов; в – токсическая зернистость в нейтрофилах; г – картина крови при инфекционном мононуклеозе

Реклама
Вход
Поиск по сайту
Ищем:
Календарь