Онлайн книга «Магия математики. Как найти x и зачем это нужно»
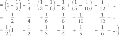
												![]() Самое потрясающее то, что знакочередующаяся версия желаемой нами суммы тоже имеет очень любопытный ответ: ![]() Сдвигаем, записываем ответ дважды: ![]() Складываем: 2T = 1 – 1 + 1 – 1 + 1 – 1 + 1 – 1 +… Следовательно, 2T = S = 1/2, то есть T = 1/4, как и было сказано. Ну и, наконец, посмотрим, что произойдет, если представить сумму всех положительных целых как U и сравнить ее с уже известной нам суммой T (точнее, с ее рядом без сдвига): U = 1 + 2 + 3 + 4 + 5 + 6 + 7 + 8 +… T = 1 – 2 + 3 – 4 + 5 – 6 + 7 – 8 +… Вычтем второе из первого: U – T = 4 + 8 + 12 + 16 +… = 4(1 + 2 + 3 + 4 +…) Другими словами, U – T = 4U Решая это уравнение для U, получаем 3U = –T = –1/4, следовательно, U = –1/12 как и предполагалось. Для протокола отметим, что при сложении бесконечного количества положительных целых сумма расходится до бесконечности. Но не торопитесь списывать все наши конечные результаты на обычные чудеса математики – с подобными странностями можно и нужно разобраться. Достаточно просто посмотреть на числа под другим углом, и сумма 1 + 2 + 4 + 8 + 16 +… = –1 покажется не такой уж и невероятной. В привязке к оси, как вы наверняка помните, казалось невозможным найти корень числа –1, но у нас получилось сделать это, когда мы трактовали комплексные величины как точки на комплексной же плоскости – точки, подчиняющиеся своим собственным арифметическим законам. Любой физик, занимающийся теорией струн [37], подтвердит, что 1 + 2 + 3 + 4 +… = –1/12, ведь именно на этой сумме основано множество его вычислений. Видите: даже самый абсурдный результат нельзя просто взять и отмести только на основании его абсурдности – всему есть свое объяснение, достаточно лишь напрячь воображение. Давайте закончим эту книжку еще одним парадоксальным результатом. В начале раздела мы взяли знакочередующийся ряд ![]() сходящийся к ln 2 = 0,693147…. От перемены мест слагаемых сумма, по идее, меняться не должна – этот принцип называется коммутативным законом сложения и выглядит как A + B = B + A для любых значений A и B. И тем не менее ![]() Это именно перемена мест слагаемых: мы по-прежнему складываем дроби с нечетными значениями знаменателя и вычитаем дроби с четными значениями знаменателя. И хотя четные числа используются в ряду в 2 раза чаще, чем нечетные, тех и других у нас бесконечный запас. К тому же каждая из дробей встречается лишь единожды, как и в оригинальном уравнении. Правда? Правда. Но взгляните-ка: ![]() Это значит, что у нас получается лишь половина изначальной суммы! Как такое возможно? И как возможно то, что перемена мест слагаемых приводит нас к другому результату? Ответ прост: коммутативный закон сложения вполне может «буксовать», когда дело доходит до бесконечного количества чисел, и это хорошо известно. «Пробуксовка» возникает при схождении всякий раз, когда положительные величины вместе с отрицательными формируют расходящийся ряд. Другими словами, когда положительные величины дают в сумме ∞, а отрицательные –∞, как в нашем последнем примере. Подобные ряды называются условно сходящимися. Их магия заключается в том, что члены в них можно перемешивать как угодно – и получать тем самым нужный нам результат. Попробуем, например, прийти к 42. Сначала добавляем необходимое количество положительных величин, чтобы сумма чуть-чуть превышала 42, потом вычитаем первый из отрицательных членов. Снова поднимаемся выше 42 и снова вычитаем отрицательный член – на этот раз второй. Повторяем алгоритм и смотрим, как сумма будет все ближе и ближе подходить к 42 (например, вычтя пятый отрицательный член –1/10, мы получим значение, отличающееся от желаемого результата в пределах 0,1, пятидесятый же отрицательный член –1/100 уменьшит этот предел до 0,01 и т. д.). Конечно, обычно бесконечные ряды, с которыми мы сталкиваемся в повседневной жизни, так странно себя не ведут. Если заменить каждый член ряда его абсолютным значением (что превратит отрицательные величины в положительные), то при сходящейся новой сумме мы получим абсолютно сходящийся ряд. Покажем это на примере уже известного нам знакочередующегося ряда: ![]() Так вот, он будет именно абсолютно сходящимся, ведь при сложении абсолютных величин мы придем к другому, ничуть не менее знакомому нам сходящемуся ряду ![]() Здесь коммутативный закон сложения «буксовать» не будет даже при бесконечном количестве членов. Следовательно, в изначальном знакочередующемся ряду числа 1, –1/2, 1/4, –1/8… можно «тасовать» как угодно – их сумма всегда будет равна 2/3. К сожалению, в отличие от бесконечных рядов, любая книга, в том числе и эта, должна когда-то заканчиваться. Лезть дальше бесконечности мы, пожалуй, не осмелимся, а остановимся прямо здесь. Впрочем, у меня для вас припасено еще одно матемагическое блюдо.  | 
										
		![Иллюстрация к книге — Магия математики. Как найти x и зачем это нужно [i_583.jpg] Иллюстрация к книге — Магия математики. Как найти x и зачем это нужно [i_583.jpg]](img/book_covers/072/72991/i_583.jpg)
![Иллюстрация к книге — Магия математики. Как найти x и зачем это нужно [i_584.jpg] Иллюстрация к книге — Магия математики. Как найти x и зачем это нужно [i_584.jpg]](img/book_covers/072/72991/i_584.jpg)
![Иллюстрация к книге — Магия математики. Как найти x и зачем это нужно [i_585.jpg] Иллюстрация к книге — Магия математики. Как найти x и зачем это нужно [i_585.jpg]](img/book_covers/072/72991/i_585.jpg)
![Иллюстрация к книге — Магия математики. Как найти x и зачем это нужно [i_586.jpg] Иллюстрация к книге — Магия математики. Как найти x и зачем это нужно [i_586.jpg]](img/book_covers/072/72991/i_586.jpg)
![Иллюстрация к книге — Магия математики. Как найти x и зачем это нужно [i_587.jpg] Иллюстрация к книге — Магия математики. Как найти x и зачем это нужно [i_587.jpg]](img/book_covers/072/72991/i_587.jpg)
![Иллюстрация к книге — Магия математики. Как найти x и зачем это нужно [i_588.jpg] Иллюстрация к книге — Магия математики. Как найти x и зачем это нужно [i_588.jpg]](img/book_covers/072/72991/i_588.jpg)
![Иллюстрация к книге — Магия математики. Как найти x и зачем это нужно [i_589.jpg] Иллюстрация к книге — Магия математики. Как найти x и зачем это нужно [i_589.jpg]](img/book_covers/072/72991/i_589.jpg)
![Иллюстрация к книге — Магия математики. Как найти x и зачем это нужно [i_590.jpg] Иллюстрация к книге — Магия математики. Как найти x и зачем это нужно [i_590.jpg]](img/book_covers/072/72991/i_590.jpg)