Книга Психология творчества, креативности, одаренности, страница 133 – Евгений Ильин

Авторы: А Б В Г Д Е Ж З И Й К Л М Н О П Р С Т У Ф Х Ч Ш Ы Э Ю Я
Книги: А Б В Г Д Е Ж З И Й К Л М Н О П Р С Т У Ф Х Ц Ч Ш Щ Ы Э Ю Я
Бесплатная онлайн библиотека LoveRead.me

Онлайн книга «Психология творчества, креативности, одаренности»

📃 Cтраница 133
Общие оценки модификации теста П. Торренса
Иллюстрация к книге — Психология творчества, креативности, одаренности [autogen_ebook_id34.jpg]

Методика «Эскизы» (вариант 1) [64]

Невербальный тест на дивергентную продукцию образно-символической системы.

Цель: определение уровня развития творческих способностей, воображения, вариативности мышления, способности к ассоциированию.

Показатели:

• беглость (подвижность) – количественная характеристика;

• оригинальность;

• гибкость;

• разработанность;

• степень отдаленности идеи от стимула;

• эмоциональная экспрессия;

• художественно-эстетические элементы;

• выход за пределы задания (полезависимость – независимость).

Материал для тестирования: цветные карандаши; тестовый бланк – альбомный лист, где изображено сорок одинаковых кругов. Все круги одного размера. Круги расположены так, чтобы было место для небольшого рисунка.

Бланк теста может быть изменен. Круги заменяются другими графическими изображениями. Это могут быть простые геометрические формы (треугольники, квадраты) или более сложные символы (зигзаги, капли и др.).

В отличие от «классического» варианта теста Торренса, где графические стимулы не повторяются, данная модификация предоставляет возможность зафиксировать такой качественный показатель творческого мышления, как вариативность, способность к преобразованиям однозначного стимула.

Иллюстрация к книге — Психология творчества, креативности, одаренности [autogen_ebook_id35.jpg]

Рис. 1

Инструкция. Нарисуйте, используя эти круги, все, что придумаете. Круг должен входить в ваш рисунок обязательным элементом. Круги можно заштриховать, пририсовать к ним любые детали.

Задание выполняйте быстро. Время для работы ограничено (от трех до двадцати минут в зависимости от возраста, задач исследования и общего уровня развития детей). Приготовьте карандаши. Начинаем и заканчиваем выполнение задания по сигналу.

Обработка результатов

Беглость. Подсчитывают количество неповторяющихся рисунков-образов (но не количество использованных кругов!). Например, ребенок нарисовал три яблока, использовав три круга, – он получает 1 балл. Если нарисовал очки, использовав два круга, – оценка 1 балл. Суммируется общий результат, затем проводится стандартизация по пятибалльной шкале.

Оригинальность – подсчитывается количество оригинальных рисунков. Оригинальным считается рисунок, не повторяющийся в данной группе.

Гибкость – подсчитывается число использованных классов (категорий).

Примерный перечень классов (категорий): 1 – растения; 2 – животные; 3 – машины, механизмы; 4 – лица, люди; 5 – посуда; 6 – украшения; 7 – игрушки, игры; 8 – природные явления; 9 – космические явления; 10 – еда; 11 – войны, конфликты; 12 – географические объекты; 13 – знаки (буквы, цифры, символы); 14 – предметы домашнего обихода; 15 – орнамент, узоры; 16 – спортивные снаряды; 17 – фантастические образы; 18 – абстрактные рисунки и др.

Разработанность – количество существенных и дополняющих элементов и деталей. Оригинальные и существенные детали оцениваются не одним, а тремя баллами. Баллы суммируются и стандартизируются по пятибалльной шкале.

Степень отдаленности ассоциации от стимула – фиксируются образы, противоположные по стимулу. Например, круг (стимул) «трансформируется» ребенком в квадратный или зигзагообразный по форме образ. Степень преобразований оценивается в баллах – чем ближе и очевидней ассоциация, тем меньше балл. Стандартизация результатов осуществляется на основе экспертных оценок.

Эмоциональная экспрессия – оценивается по количеству и качеству эмоциональной выразительности образов. Учитывается цвет, линии и эмоционально выразительные детали и их сочетания.

Художественно-эстетические компоненты – оценка осуществляется на основе экспертных оценок специалистов-искусствоведов. Предмет анализа – композиция, выразительные средства.

Выход за пределы задания (полезависимость и поленезависимость) – этот показатель проявляется в объединении нескольких исходных повторяющихся фигур в единый образ в реализации скрытых возможностей, стимулов.

Этот показатель проявляется особенно редко в случае более определенного тестового бланка (вариант теста, модифицированный Е. Е. Туник), где каждый круг помещен в квадрат.

Методика «Эскизы» (вариант 2) [65]

«Художественный вариант» методики графических символов. Вместо абстрактных и простых графических моделей (круг, квадрат, треугольник, зигзаг) предъявляются эмоционально-содержательные стимулы, которые зафиксированы как графические универсальные «архетипы» (рис. 1).

Иллюстрация к книге — Психология творчества, креативности, одаренности [autogen_ebook_id36.jpg]

Рис. 1

В качестве стимула могут быть использованы также фрагменты графических и живописных произведений художников-профессионалов.

Такие эмоционально-экспрессивные художественно выразительные стимулы в большей степени стимулируют творческую активность детей.

Показатели креативности и способы обработки данных можно проводить аналогично варианту 1 методики «Эскизы».

Основные показатели уровня развития способности к преобразованиям

Разнообразие (легкость) преобразований – количественная характеристика. Этот показатель определяется подсчетом различных вариантов (образов, понятий в зависимости от характера теста) и подсчетом способов преобразований (средства, элементы и комплексы языка и т. д.) и количеством существенных (смысловых) и дополнительных деталей, с помощью которых осуществляются преобразования.

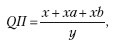
Индекс по данному показателю высчитывается следующим образом:

Иллюстрация к книге — Психология творчества, креативности, одаренности [autogen_ebook_id37.jpg]

где QP – индекс преобразований; x – количество вариантов; xa – количество использованных способов преобразований; xb – количество существенных деталей; y – количество заданий.

Степень преобразований – данный показатель определяет качество преобразований и оценивается по пятибалльной шкале.

• 1 балл – нет преобразований;

Вход
Поиск по сайту
Ищем:
Календарь