
Онлайн книга «Психология индивидуальных различий»
У экстравертов и интровертов наблюдается различная способность к выполнению задания в условиях отвлекающих факторов: экстраверты работают лучше, хотя отвлекающие факторы влияли негативно и на них (S. Mоrgеnstеrn еt аl., 1974; А. Furnhаm, R. Вгаdlеу, 1997). Интроверты склонны выбирать для занятий наиболее уединенные уголки библиотеки (J. Сатрbеll, С. Hаwlеу, 1982). Бекан с соавторами (Р. Вакап еt аl., 1963) изучали, как экстраверты и интроверты выполняли задание, требующее постоянной концентрации внимания (в течение 48 минут испытуемые должны были отмечать четные и нечетные числа) при коллективной работе, а также когда каждый испытуемый был изолирован от других. В итоге получены довольно любопытные результаты (табл. 7.1). Таблица 7.1. Число правильно отмеченных чисел экстравертами и интровертами при коллективной и изолированной работе.
Во-первых, экстраверты лучше работали коллективно, чем при изоляции друг от друга, а интроверты эффективнее выполняли работу в условиях изоляции. Во-вторых, экстраверты лучше всего работали вначале, а затем эффективность их деятельности снижалась. Интроверты же сначала уступали экстравертам, но затем эффективность их работы увеличилась и лишь в третьем периоде снижалась до уровня, который был на начальной стадии работы. Сходная закономерность выявлена и другими исследователями (Wilsоn еt аl., 1971; Уаtеs, 1973). О преимуществе интровертов перед экстравертами при выполнении заданий на бдительность писал Бродбент (1953, 1958). Однако при большой скорости предъявления сигналов, шуме и социальной стимуляции интроверты теряют это преимущество. A. В. Махнач и Ю. В. Бушов (1988) выявили, что экстраверты при строго регламентированном характере деятельности, протекающей в условиях частичной сенсорной изоляции, в большей степени, чем интроверты, ощущают блокирование коммуникативных потребностей, и это приводит к их повышенной напряженности. B. А. Петровский и Е. М. Черепанова (1987) показали, что саморегуляция содержания своего сознания (думать или не думать о чем-то) легче происходит у экстравертов с низким нейротизмом (стабильные экстраверты), чем у интровертов с тем же уровнем нейротизма (см. табл. 7.2). Легкость или трудность саморегуляции определялась авторами по двум параметрам: временем подготовки к выполнению задания (не думать о чем-то обусловленном) и временем выполнения задания («недуманья»). На основании полученных данных авторы пришли к выводу, что акцентуированные экстраверты характеризуются поверхностной рефлексией, а интроверты – избыточной. Обе эти характеристики в равной степени препятствуют организации внимания в составе самоконтроля. Из-за более тщательного обдумывания своей речи интровертами у них, по сравнению с экстравертами, речь замедленна, с длительными паузами. Интроверты придают большее значение точности и безошибочности работы, что приводит к снижению ее скорости. У экстравертов скорость работы выше, но зато и ошибок больше. Зрительная ориентировка быстрее осуществляется экстравертами. Они же быстрее извлекают информацию из памяти.Таблица 7.2. Временые параметры саморегуляции содержания сознания.
Примечание: *– ð < 0,05. У экстравертов более адекватный уровень притязаний, в то время как у интровертов он завышенный. Роль генетических и средовых факторов. Исследования на моно– и дизиготных близнецах, проведенные в разных странах, выявили роль генетического фактора в проявлении экстраверсии. Так, Д. Лаелин (J. Lоеhlin, 1992) приводит сводные данные по четырем исследованиям, проведенным на сотнях и тысячах близнецов, из которых следует, что сходство в проявлении экстраверсии значительно выше у монозиготных пар, чем у дизиготных (табл. 7.3).Таблица 7.3. Величина коэффициента корреляции по выраженности экстраверсии у моно– и дизиготных близнецов.
Эти данные интересны еще и тем, что изучалось сходство в проявлении экстраверсии у близнецов, живущих вместе и врозь. Как видно из данных таблицы, в Швеции и США была выявлена и роль социального фактора, так как у живущих врозь близнецов сходство было меньшим, чем у близнецов, живущих вместе. Показано, что коэффициент наследуемости экстраверсии равен 0,5 (Е. А. Сергиенко с соавторами, 1999), что тоже, с одной стороны, указывает на роль наследственности, а с другой – не исключает и влияния факторов среды (социальных) в проявлении экстраверсии – интроверсии (Л. Ивс с соавторами [7] ; К. Янг с соавторами [8] ). Выявлено также уменьшение с возрастом коэффициента наследуемости экстраверсии (R. Viкеп еt аl., 1994).
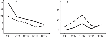
Рис. 7.1. Низкая (а) и высокая (б ) общительность. По вертикали – число случаев, %; по горизонтали – возраст, годы. Сплошная линия – девочки, пунктирная – мальчики. Изменения с возрастом экстраверсии – интроверсии. Н. В. Бирюковой с соавторами (1976) показана возрастная динамика параметра экстраверсия – интроверсия (рис. 7.1). Число интровертов среди детей снижается от 7–8-летних к 15–16-летним. Число же экстравертов изменяется по-другому: их максимум отмечен в возрасте 11—12 лет, а к 15—16 годам – снижается, почти достигая уровня 7–8-летних. Физиологические особенности экстравертов и интровертов. У экстравертов ориентировочная реакция и условно-рефлекторная активационная реакция угасает быстрее, чем у интровертов. Попытки выявить связь между быстротой образования условного рефлекса (обусловливания) и экстраверсией – интроверсией в большинстве случаев успеха не имели (W. Вескег, 1960; W. Вескег, H. Mаttеsоn, 1961; J. Fiеld, J. Вгепдеlmаnn, 1961). Грей считает, что у интровертов имеется более реактивная тормозная система (система «наказания»): они более чувствительны к сигналам наказания, фрустрации потребности, более тревожны и боязливы; у экстравертов преобладает реактивность системы «поощрения», поэтому они более чувствительны к сигналам удовлетворения потребности. По Айзенку (см.: Небылицын, 1966, с. 30), экстраверты характеризуются медленно развивающимся и слабым возбуждением и быстро развивающимся, сильным и медленно затухающим реактивным торможением. Интроверты имеют противоположные характеристики. Отсюда Айзенк сделал вывод, что баланс нервных процессов является физиологической детерминантой эктраверсии – интроверсии. У экстравертов преобладает торможение, а у интровертов – возбуждение. Однако В. Д. Небылицын считает, что для определения реактивного торможения Айзенк использовал не совсем адекватные приемы и тесты. Скорее это пробы на запредельное торможение и на психическое утомление. В связи с этим, заключает В. Д. Небылицын, попытка Айзенка и его сотрудников применить к экстраверсии – интроверсии павловскую концепцию об уравновешенности нервных процессов неправомерна. |