Книга Психология воли, страница 90 – Евгений Ильин

Авторы: А Б В Г Д Е Ж З И Й К Л М Н О П Р С Т У Ф Х Ч Ш Ы Э Ю Я
Книги: А Б В Г Д Е Ж З И Й К Л М Н О П Р С Т У Ф Х Ц Ч Ш Щ Ы Э Ю Я
Бесплатная онлайн библиотека LoveRead.me

Онлайн книга «Психология воли»

📃 Cтраница 90

Тот же факт, что среди представителей таких рискованных видов спорта, как прыжки с парашютом, прыжки в воду, прыжки на лыжах с трамплина, практически нет генетически предопределенных трусливых, еще не свидетельствует о том, что эти виды спорта развивают смелость. Скорее всего это является следствием естественного отсева: лица с низкой степенью смелости добровольно бросают занятия этими видами спорта из-за того, что не хотят постоянно испытывать страх и при этом не могут его преодолеть.

Поскольку в спортивной гимнастике мастерства высокого уровня достигают и лица, имеющие низкую степень смелости, естественно, возникает вопрос — каким же образом им это удается? Очевидно, они приспосабливаются к «опасной» ситуации, связанной с выполнением упражнений. Для подтверждения этого предположения Н. Д. Скрябин [1975] проделал эксперимент по изучению адаптации школьников к «опасной» ситуации, возникающей при выполнении некоторых упражнений.

Испытуемым предлагалось многократно (по 10 раз за урок в течение 8 уроков) выполнять одно и то же упражнение, приводящее к появлению боязни. О процессе адаптации к этой ситуации судили по нормализации баланса нервных процессов и частоты сердечных сокращений, а также по качеству выполнения упражнения. При этом степень смелости вычисляли не по абсолютной оценке качества упражнения, а по разности оценок при выполнении упражнения со страховкой и без нее.

Исследование показало, что по мере многократного выполнения этого упражнения без страховки оценка его все больше приближалась к оценке выполнения упражнения со страховкой, т. е. самоконтроль за выполнением упражнения все больше усиливался, а переживание боязни проявлялось все меньше. Об этом свидетельствовало и уменьшение частоты пульса после выполнения упражнения, а также уменьшение числа случаев сдвига баланса нервных процессов в какуюлибо сторону. Следовательно, можно сделать вывод, что испытуемые постепенно адаптировались к данной опасной ситуации.

Аналогичный сдвиг ЧСС при пятикратном выполнении «опасного» упражнения у смелых и робких наблюдали Б. Н. Смирнов, М. А. Брегман и В. И. Киселев [1970]. Авторы отмечают, однако, что у робких, в отличие от смелых, за время, отведенное на попытки, процесс адаптации не успел закончиться.

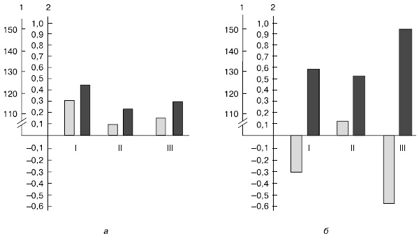
Но адаптация не означает, что у испытуемых возникла смелость как устойчивая черта личности. О ней можно было бы говорить в том случае, если бы и в других опасных ситуациях эти испытуемые проявили себя как смелые, т. е. без страховки выполняли бы упражнение так же качественно, как и со страховкой, и не обнаруживали бы повышения частоты сердечных сокращений. Но, как показано Н. Д. Скрябиным в том же исследовании, этого не произошло. Выполнение нового «опасного» упражнения привело у лиц с низким уровнем смелости к прежней реакции на опасность: к ухудшению качества выполнения упражнения без страховки и резкому повышению частоты сердечных сокращений (рис. 12.1).

Иллюстрация к книге — Психология воли [autogen_ebook_id31.jpg]

Рис. 12.1. Влияние адаптации к «опасности» на ЧСС и на качество выполнения физических упражнений. По вертикали: шкала 1 — ЧСС перед выполнением упражнений (ударов в минуту), черные столбики; шкала 2 — разница между оценками за качество выполнения упражнения со страховкой и без страховки (баллы); по горизонтали: I — выполнение опасного упражнения № 1 без страховки (до адаптации); II — то же упражнение после адаптации; III — выполнение опасного упражнения № 2, к которому адаптация не проводилась; а — испытуемые с высоким уровнем смелости; б — испытуемые с низким уровнем смелости

Значит, предположения психологов и педагогов о возможности развивать смелость оказались слишком оптимистичными. На основании исследования Н. Д. Скрябина можно сделать вывод о способности лиц с низким уровнем смелости адаптироваться к конкретной опасной ситуации, однако переноса этой адаптированности на другие опасные ситуации не происходит.

Большая роль в такой адаптации и устранении или ослаблении чувства страха должна принадлежать методам психорегулирующей тренировки, внушенному сну, медикаментозным средствам. Кроме того, педагоги должны проводить большую профилактическую работу, не допуская возникновения у обучающегося необоснованного страха только из-за того, что он не знаком с ситуацией, деятельностью, слабо подготовлен к ней или не уверен в успешности ее выполнения.

В. Г. Темпераментова [1982] опробовала на школьницах старших классов ряд приемов, помогающих снизить переживание страха при выполнении физических упражнений:

• постепенное повышение сложности препятствия, которое нужно преодолеть;

• расчленение упражнения на части и выполнение их в облегченных условиях (на полу, на невысокой опоре и т. д.);

• разучивание специальных и подготовительных упражнений, создающих уверенность в выполнении и основного упражнения;

• обеспечение страховки на первых шагах разучивания упражнения;

• приведение в пример одноклассников, легко и непринужденно справившихся с упражнением;

• включение «опасных» элементов в эстафеты-соревнования;

• исключение нетактичных замечаний с подчеркиванием боязни учащихся;

• ободрение учащихся, внушение им уверенности в том, что они сумеют выполнить упражнение.

Последний прием очень важен для придания смелости маленьким детям при катании на коньках, на лыжах, при освоении езды на велосипеде. Когда я учил своего пятилетнего сына съезжать с горки на лыжах, произошел следующий эпизод. Несколько попыток спуститься без падений у него были неудачными. Тогда я сказал сыну: «Съезжай, я уверен, что сейчас ты не упадешь». Попытка оказалась успешной, сын удержался. И вот перед следующей попыткой он сам попросил: «Папа, скажи еще раз, что я не упаду».

Другим примером является обучение детей езде на двухколесном велосипеде. Сначала родители поддерживают сзади велосипед, а затем незаметно для ребенка его отпускают — и ребенок едет самостоятельно. Но стоит ему только обернуться и узнать, что его больше не страхуют, как он тут же заваливается. В этот момент очень важно убедить ребенка, что он с самого начала ехал без страховки. Если он в это поверит, то проблема обучения решена.

Формирование настойчивости и целеустремленности. Настойчивость развивается на основе воспитания у ребенка, начиная с дошкольного возраста, умения доводить до конца выполнение посильных заданий. Положительную роль в воспитании настойчивости и целеустремленности играют значимые цели и осознание долга и ответственности за порученное дело. Самое главное — научить ребенка не прекращать целенаправленных усилий при возникновении препятствий.

Воспитание настойчивости невозможно отделить от формирования и развития потребностно-мотивационной сферы. Поэтому… начинать самовоспитание настойчивости надо с решения повседневных учебных заданий и семейных поручений. Только после этого можно переходить к каким-то специально придуманным упражнениям. Формирование настойчивости связано также с эмоционально-волевой сферой личности [а разве сама настойчивость не является частью волевой сферы? — Е. И.]. Поэтому ученику надо сообщить приемы воспитания воли и помочь ее развить и укрепить. Однако нежелательно, чтобы воспитание настойчивости было связано только с чувством напряжения, а порой и мучительного преодоления внешних и внутренних трудностей. Надо стараться всячески облегчить [?! — Е. И.] задачу ученика, помогая ему сформировать внутренние мотивы деятельности, далекую перспективу личности, умение управлять своим вниманием, вызывать положительные эмоции. Они не только существенно помогут процессу самовоспитания, но и сделают его в определенной мере приятным.

Вход
Поиск по сайту
Ищем:
Календарь