
Онлайн книга «Пол и гендер»
В профессиональном самоопределении девушки опережают юношей. И. С. Кон (1989) приводит данные Ю. П. Вавилова и Н. В. Андреенковой, согласно которым среди определившихся с выбором профессии девушек больше, чем юношей (соответственно 33 и 21 %). Ту же закономерность выявила позже и Л. А. Головей (1999): по показателям осознанности профессионального выбора и определенности путей получения профессии девушки имеют преимущество (табл. 19.1). Таблица 19.1. Особенности профессионального планирования старшеклассников (количество учащихся в процентах)
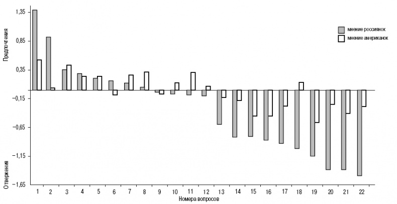
Среди заканчивающих школу девочки чаще мальчиков предполагают идти в вуз; и в значительной степени это связано с тем, что мальчики ожидают призыва в армию. При использовании С. Афиногеновой опросника Е. А. Климова о склонности к профессиям определенного типа было выявлено, что девушки по сравнению с юношами отдают предпочтение профессиям типа «человек – природа», «человек – человек» и «человек – художественный образ» (табл. 19.2). Таблица 19.2. Выраженность склонности к тому или иному типу профессии у юношей и девушек![]() Как видно из данных табл. 19.2, юноши предпочитают профессии типа «человек – техника» и «человек – знак», в то время как девушки – «человек – природа», «человек – человек» и «человек – художественный образ». По данным Л. Термана и К. Майлз (Terman L., Miles C., 1936), мужчины проявляют интерес к профессиям, связанным с приключениями, в которых предполагаются подвиг, физическое напряжение, к работе вне помещения, к механизмам и инструментам, к науке, физическим явлениям и изобретениям. Женщины склонны к профессиям, связанным с эстетикой, с сидячей работой в помещении, с оказанием помощи, особенно детям, беззащитным и нуждающимся людям. Сходные данные через полвека получены и другими авторами. По данным В. М. Русалова (1993), мужчины стремятся к разнообразию форм деятельности, обладают легкостью переключения с одного вида деятельности на другой. Отсюда и выбор профессий, в которых преобладает творческий, а не монотонный характер. М. Гиббс (Gibbs, 1985) отмечает, что женщин больше всего привлекает в работе возможность помогать другим людям. При анализе основных предпочтений работающих женщин США оказалось, что в своей профессии они стремятся продолжать типичные семейные виды деятельности: воспитание детей (педагогика), уход за другими (медицина), помощь мужу (секретарская работа; в США 90 % секретарей – это женщины), приготовление пищи (кулинария) (Agassi J., 1979). Кроме того, если мужчины предпочитают социальную активность и более динамичны, то женщины ориентированы на кабинетную, камерную, не очень динамичную работу (Bird C., 1971). О. В. Митина и В. Ф. Петренко (2000) изучили профессиональные предпочтения у российских и американских женщин (рис. 19.1).
Наиболее предпочтительной как для тех, так и для других является возможность иметь высшее образование или профессию высокой квалификации. На втором месте у россиянок – желание работать в государственном учреждении, а у американок – желание посвятить свою жизнь карьере. У американок выше желание быть руководителем предприятия, организации, учреждения или иметь свой бизнес. По данным Л. А. Коростылевой (2000), легче трудоустраиваются более интеллектуальные, дипломатичные, в меру смелые, недоминантные, считающиеся с мнением других, менее общительные и экспрессивные мужчины и несколько доминантные и социально смелые, более общительные и экспрессивные женщины. Эмоциональная устойчивость в большей мере способствует трудоустройству женщин, чем мужчин. Мужчины, преодолевшие затруднения в трудоустройстве, не столь низко мотивированы, а женщины не столь фрустрированы, как в общих выборках тех и других. 19.3. Представленность мужчин и женщин в различных профессиях Принято считать, что в сфере занятости существует горизонтальная профессиональная сегрегация, т. е. асимметричное размещение мужчин и женщин в профессиональной структуре: одни профессии считаются мужскими, другие – женскими. В сознании людей мужская работа – физически тяжелая, женская – физически легкая. По данным М. В. Семиной (2002), это мнение и мужчин и женщин, при этом они исходят прежде всего из того, что мужчины физически сильнее. Отсюда и соответствующий выбор профессии представителями разных полов. Второй подход к делению профессий на мужские и женские – оплачиваемость работы. Поскольку мужчина является «добытчиком», кормильцем семьи, он должен быть задействован в высокооплачиваемой работе. Кроме того, высокая оплата труда позволяет мужчине сохранить его статус. Отсюда третий подход к делению профессий на мужские и женские – статус профессии в глазах общества. Мужчине «неприлично», например, быть уборщиком, мыть посуду. Наконец, четвертое основание для деления профессий по половому признаку – творческий или исполнительский характер труда. В общественном сознании бытует мнение, что к творческой деятельности более способен мужчина, который и интеллектуально более компетентен (Broverman et al., 1972), а исполнительская деятельность – удел женщины (она усидчива, монотоноустойчива, усердна). Может быть поэтому, например, в США среди секретарей и среднего медицинского персонала доля женщин составляет 99 и 97 % соответственно (Williams, 1989), а в сфере обслуживания женщин занято в 2 раза больше, чем мужчин (Unger, Crawford, 1992). |