
Онлайн книга «Пол и гендер»
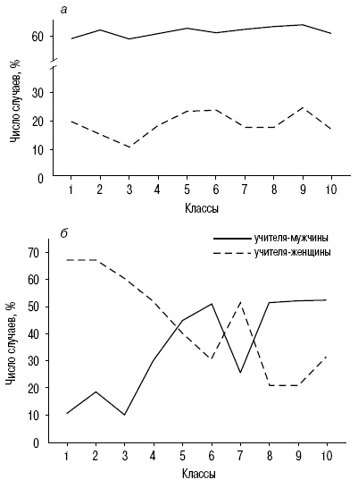
Е. Г. Писанникова (1987) выявила, что девочки по сравнению с мальчиками чаще отмечали наличие у учителя физкультуры положительных личностных качеств. Девочки старших классов придают большее значение внешнему виду учителя, чем мальчики. Стиль руководства учителя физкультуры воспринимается как авторитарный несколько чаще девочками, чем мальчиками. Эти различия отчетливее выявлены у тех, кто не удовлетворен уроками физкультуры. Характерно, что мальчики, занимающиеся спортом, чаще негативно реагируют на замечания учителя физкультуры, чем девочки (в 41,9 и 26,5 % соответственно среди удовлетворенных уроками, и 92,8 и 75,0 % – среди неудовлетворенных). Следовательно, мальчики, добившиеся каких-то успехов в спорте, более самолюбивы, чем девочки. Среди не занимающихся спортом школьников таких различий не наблюдалось. По данным В. В. Будилова (1987), имеются половые различия в предпочтении мальчиками и девочками учителей физкультуры разного пола. Большинство мальчиков во всех классах (в среднем 60 %) хотят в качестве такого учителя видеть мужчину, у девочек же выявлена более сложная закономерность: в младших классах предпочтение большинством отдано учителю-женщине, в средних классах учитель-мужчина и учитель-женщина предпочитаются девочками в равной степени, а в старших классах чаще предпочитается учитель-мужчина (рис. 21.2).
Мотивы занятий на уроках физкультуры. Только около 40 % школьников занимаются на уроках физкультуры целенаправленно, желая получить хорошее физическое развитие. При этом мальчики понимают его как развитие двигательных качеств, а девочки как улучшение своего внешнего вида: фигуры, походки и т. п. (Еделева Е. Г.). Недостаточный интерес девочек к физкультуре обусловлен, в частности, тем, что направленность и требования этих занятий в большей степени соответствуют ценностным ориентациям мальчиков. Этот вывод подтверждают в какой-то степени и данные Е. Г. Сайкиной (1998), изучавшей мотивы посещения уроков физкультуры девушками старших классов. Доминирующим (у 87 % школьниц) является формирование красивой фигуры. Мотив умения красиво двигаться и танцевать имеется у 76 % школьниц; повышение уровня двигательных способностей – у 61 %; обучение играм (волейбол, баскетбол и пр.), а также укрепление здоровья – у 31 % школьниц. В работе Е. П. Ильина (1987) выявлено, что из всех разделов учебной программы по физкультуре мальчики предпочитают спортивные игры, в основном баскетбол (38,5 % ответов, в 2 раза больше, чем у девочек); девочки отдают предпочтение гимнастике во всех ее разновидностях. Девочкам чаще не нравились спортивные игры и лыжная подготовка, а мальчикам – гимнастика. Девочки хотят, чтобы выполнение физических упражнений сопровождалось музыкой, мальчики таких пожеланий практически не высказывали. Девочки чаще высказывали пожелание, чтобы учебный материал был разнообразнее. Кстати, учителя физкультуры считают, что разделять мальчиков и девочек на уроках физкультуры надо уже в IV–V классах (Ильин Е. П. и Тихонов А. М., 1987). 21.2. Физкультурно-спортивная мотивация лиц мужского и женского пола Мужчины более активны в занятиях физкультурой и спортом, чем женщины. Это подтверждается данными, полученными в исследованиях как городских, так и сельских жителей в различных регионах нашей страны. Социологическое исследование П. А. Виноградова с соавторами (1977) выявило, что распространенность занятий утренней гимнастикой составляла среди мужчин 65,2 %, а среди женщин 34,3 %. Это же подтверждают и данные И. И. Мансурова (1973): делали утреннюю гимнастику 50,7 % мужчин и 37,9 % женщин; согласно этому опросу, занимались в спортивных секциях 8,1 % мужчин и 2,9 % женщин, живших в Карачаево-Черкесии, участвовали в соревнованиях соответственно 10,8 % мужчин и 2,1 % женщин. Ю. В. Борисов (1972), изучая отношение к физической культуре и спорту на селе, тоже выявил меньшую активность женщин по сравнению с мужчинами (табл. 21.4). Таблица 21.4. Степень распространенности самостоятельных занятий физической культурой и спортом с целью укрепления здоровья (процент случаев)![]() По данным И. И. Щербакова (1982), в обследованной им выборке трудящихся занимались физкультурой и спортом 41,8 % мужчин и только 20,4 % женщин. При этом женщины чаще, чем мужчины, делали утреннюю зарядку и занимались в группах здоровья, а мужчины чаще занимались спортом самостоятельно и в спортивных секциях (рис. 21.3).
Время, отводимое на занятия физическими упражнениями, было большим у мужчин (рис. 21.4).
Соответственно спортивные разрядные нормативы значительно чаще имели мужчины (50,5 %), чем женщины (21,1 %). Большая активность в занятиях физическими упражнениями мужчин подтверждается и в том, что не умеющих плавать среди лиц женского пола на 10–13 % больше, чем среди лиц мужского пола (Рипа М. Д., 1971; Дорошенко Ю. П., Дорошенко И. В., 1982). По данным Ю. В. Борисова, не занимаются, но желают заниматься физическими упражнениями чаще тоже мужчины, чем женщины (соответственно 26,5 и 19,9 %). Приведенные данные отражают, очевидно, общую, а не только российскую, картину. В Польше выявлены аналогичные закономерности: так, по данным З. Дроздовски (1999), независимо от возраста, количество лиц, занимавшихся спортом, было больше среди мужчин, чем женщин, – в возрасте 12–13 лет – соответственно 57 и 40 %, в возрасте 17 лет – 45 и 28 %, в возрасте 20 лет – 21 и 12 %. Автором выявлено, что девочки чаще занимаются в школьных спортивных секциях, а мальчики – в спортивных клубах. Меньшее участие в спортивных занятиях девочки и девушки объясняют большой занятостью учебой, а женщины – семейными обязанностями. В развитых странах количество женщин, занимающихся спортом, составляет 10–15 %, в России – только 1–3 %, в то время как общее число занимающихся спортом около 10 % (Панков В. А., 2000). Имеются некоторые различия в проявлении интереса к различным видам спорта лицами мужского и женского пола: мальчики значительно чаще интересуются волейболом, баскетболом, футболом и хоккеем, девочки – фигурным катанием и гимнастикой (Рипа М. Д., 1971а). В отношении интереса, проявляемого к легкой атлетике и плаванию, различий нет. В последние годы резко возрос интерес женщин к аэробике и ее разновидностям (степ, слайд, фанк), шейпингу. В то же время заметный интерес девочки и девушки проявляют и к восточным единоборствам. |