Книга Пол и гендер, страница 75 – Евгений Ильин

Авторы: А Б В Г Д Е Ж З И Й К Л М Н О П Р С Т У Ф Х Ч Ш Ы Э Ю Я
Книги: А Б В Г Д Е Ж З И Й К Л М Н О П Р С Т У Ф Х Ц Ч Ш Щ Ы Э Ю Я
Бесплатная онлайн библиотека LoveRead.me

Онлайн книга «Пол и гендер»

📃 Cтраница 75
Иллюстрация к книге — Пол и гендер [autogen_ebook_id96.jpg]

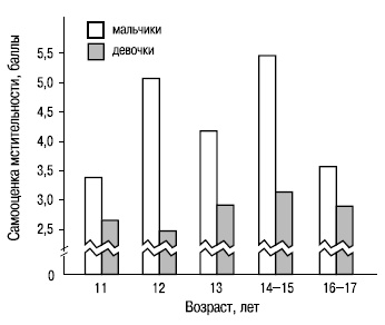
Рис. 10.1.

Возрастная динамика мстительности

Девочки более склонны к проявлению скрытых форм враждебности, что выражается в пренебрежительном обращении с вызывающим антипатию человеком, в его игнорировании или в обесценивании его социального статуса или взаимоотношений с ним (Crick et al., 1997; Crick, Grotpetr, 1995).

10.3. Половые различия в конформности

В ряде работ показано, что конформность (готовность соглашаться с мнением других) у женщин выше, чем у мужчин (Сопиков А. П., 1969; Hartup W., 1958; Fagot B., 1978; Osman L., 1982). Это имеет следствием и различия в типе мотивации. В исследовании Л. Османа это было выявлено при наблюдении за тем, как мужчины и женщины переходят улицу на красный цвет светофора. Мужчины идут первыми чаще, чем женщины, однако женщины чаще нарушают правила вслед за более решительным нарушителем. Автор делает вывод, что женщины более податливы к требованиям, запрещающим нарушение правил, но одновременно более конформны к групповому давлению.

Даже в работах Игли (Eagly, Carly, 1981), на которые ссылается Ш. Берн, отрицая большую конформность женщин, половые различия в подверженности внешнему влиянию, хотя и небольшие (но на статистически значимую величину), были обнаружены.

Мне кажется, что когда психологи-женщины пытаются отрицать реальные факты, они подсознательно имеют в виду, что наблюдаемые различия не предопределены природой, т. е. врожденных различий нет. Отсюда и противоречивость позиций в отношении половых различий. С одной стороны, их вроде бы нет, а с другой стороны, все же дается объяснение различиям, которые, как оказывается, все-таки есть. Это отчетливо проявилось у Ш. Берн при обсуждении вопроса о конформности. Вопреки первоначальному утверждению об отсутствии различий в конформности между мужчинами и женщинами, Ш. Берн далее дает объяснения имеющимся различиям и прямо пишет о меньшей конформности мужчин: «Этот факт может объясняться тем, что женщины – более “общественные” создания и, следовательно, стараются сохранить гармонию в группе и добрые чувства ее членов друг к другу (Eagly, 1978; Eagly and Wood, 1985). Другой причиной может быть то, что мужчины менее конформны из-за социальных норм, которые предписывают им быть независимыми и не поддаваться влиянию со стороны. Было обнаружено, что мужчины менее конформны в ситуации, когда они считают, что члены группы знают их мнение, чем тогда, когда они уверены, что другим их мнение неизвестно. На конформность женщин этот фактор не оказывал никакого влияния (Eagly et al., 1981)» (2001, с. 113). Игли склонна объяснять выявляемые различия в конформности мужчин и женщин их статусными различиями: в повседневной жизни мужчины стремятся достичь положения с высоким статусом и широкими полномочиями. Поэтому часто можно видеть, что мужчины оказывают влияние, а женщины поддаются. Это объясняет, по мнению Игли, тот факт, что в реальной жизни складывается впечатление о гораздо большем различии в степени повседневного конформизма полов, нежели выявляется в научных исследованиях, в которых мужчинам и женщинам отводится одинаковая роль.

В ряде работ западных психологов выявлено, что когда затрагивались женские темы, мужчины были более склонны к конформному поведению, чем женщины, и наоборот. Отмечается, что 79 % исследований, в которых были обнаружены половые различия в пользу большей внушаемости женщин, осуществлялись мужчинами, а также то, что исследователи-мужчины обнаруживали более значительные различия, чем их коллеги женского пола, исходя из чего Игли и Карли сделали вывод, что ученые склонны излагать результаты своих исследований в таком виде, который бы польстил тому полу, к которому они сами принадлежат. Но если это и так, разве не может тот же упрек быть адресован и исследователям-женщинам?

Другое дело, что если эти различия обусловлены только социальными факторами, то при изменении последних могут исчезнуть и наблюдавшиеся различия. Так, Игли отмечает, что в исследованиях конформности, опубликованных до 1970 г., 32 % указывают на большую подверженность влиянию у женщин, тогда как из 40 исследований, выполненных позже, лишь 8 % обнаружили такие различия.

...

Уважайте и оберегайте женщин, носите их на руках, а на голову они и сами сядут!

А. Абу-Бакар, современный даргинский писатель

10.4. Половые различия в социальной активности

Е. Маккоби и К. Джеклин (Maccoby, Jacklin, 1974), проанализировав исследования о степени активности мальчиков и девочек, о стремлении их к достижениям и доминантности, отрицают наличие различий по этим параметрам и утверждают, что девочки не менее активны мальчиков, но сфера их активности иная.

Между тем, по данным Н. В. Боровской (2009), независимо от способа выявления ленивых людей (самооценка, экспертная оценка, рисуночный тест), их оказалось больше среди юношей, чем среди девушек (70,3, 70,3 и 76 % – среди юношей и 55,4,35,4 и 34,5 % – среди девушек).

Д. В. Колесов и Н. Б. Северова (1978) по поводу различного характера активности мальчиков и девочек пишут следующее: «Половые различия хорошо видны при анализе совместной со взрослыми деятельности детей разного пола. Предположим, отец выполняет какую-либо домашнюю работу технического характера. Дети разного пола и одинакового возраста, допустим 3–5 лет, в равной степени готовы помочь ему, но эта помощь и содействие будут выражаться по-разному. Дочь готова что-то принести, подать, подержать, ей достаточно участия в общем полезном деле. Сына же это не удовлетворит. Он обязательно будет стремиться схватить тот же инструмент и сам выполнить работу, подражая отцу в конкретных манипуляциях» (с. 26–27).

Таким образом, авторы подчеркивают, что дело не столько в количественных характеристиках активности мальчиков и девочек, сколько в качественных.

Это качественное различие в проявлении мужской и женской активности обнаруживается и у взрослых, особенно когда дело касается общественной и политической активности (см. параграф 13.3).

По данным Г. В. Залевского (1993), женщины более социабельны, чем мужчины. Они более готовы к сотрудничеству, компромиссам, перевоплощению, переключению полоролевых установок, они более податливы. Однако женщины больше, чем мужчины, опасаются нового, каких-либо перемен, т. е. чаще проявляют неофобические черты.

Психотизм. Г. Айзенк (Eysenck, 1992), Линн и Мартин (Lynn, Martin, 1997), Л. Френсис и П. Пирсон (Francis, Pearsons, 1993) выявили, что высокие оценки по шкале психотизма более характерны для мужчин, чем для женщин. Это значит, что мужчины более склонны к конфликтам и асоциальному поведению, а также к неадекватности эмоциональных проявлений.

10.5. Половые различия в толерантности

Как показано С. Д. Гуриевой (2001), предубеждение против лиц другой национальности (установки) у мужчин и женщин проявляются по-разному. У большинства женщин установка проявляется на эмоциональном уровне, а у мужчин – на когнитивном.

Вход
Поиск по сайту
Ищем:
Календарь