Онлайн книга «Малая энциклопедия трейдера»
|
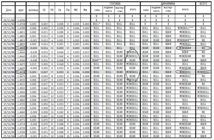
Таблица 2.7. Расчет индикатора Канат
* BULL — бычий рынок. ** BEAR — медвежий рынок. *** MINIBULL — слабый бычий рынок. **** MINIBEAR — слабый медвежий рынок. В таблице показан первый отмеченный цветом и овалом разворот бычьего рынка на медвежий. Это сопровождалось колебаниями общего индикатора от бычьего до отсутствующего тренда (см. крайнюю правую колонку) и подтверждалось динамической частью индикатора (см. колонки в разделе «ДИНАМИКА»), который начал колебаться от слабого бычьего до слабого медвежьего тренда. Второе выделение показывает разворот медвежьего рынка в бычью сторону. Хотя сигнал, полученный в данный момент от индикатора, был нечетким и для практического применения не подходил. Здесь мы видим, что статическая часть индикатора более стабильна и изменяется только после долгосрочных изменений рынка. Так, в приведенном примере статический индикатор в период с 2 по 8 декабря 1996 г. колебался от слабого бычьего до медвежьего тренда, а затем перешел в продолжительный слабый бычий тренд. Динамическая часть индикатора более подвижна и быстрее реагирует на изменение тренда, хотя из-за частой изменчивости возможно возникновение ложных сигналов. На рис. 2.117 приведен пример графического анализа индикатора Канат.Для человеческого восприятия этот метод анализа гораздо понятнее и удобнее, поэтому обратим на него особое внимание. ![]() Рис. 2.117. Пример анализа индикатора Канат Получасовой график USD/DEM дает нам возможность наблюдать как сигналы, поступающие от самого индикатора, так и сигналы, подаваемые средней, построенной по индикатору и сглаживающий его динамику. В первую очередь отмечу следующие правила графического анализа индикатора Канат. А) Сигналы, подаваемые средней, построенной по индикатору (порядок 8) 1) Бычье расхождение и медвежье схождение. На рис. 2.117 можно наблюдать классический сигнал бычьего расхождения, когда вторая вершина средней, построенной по индикатору, оказалась ниже первой, а вторая вершина цены — выше первой. 2) Параллельность, однонаправленность динамики средней и цены. Этот сигнал подтверждает действующий тренд. 3) Положение средней выше линии нуля говорит о бычьем настрое рынка, когда лучше быть длинным[18] — искать подходящие время и цену для покупки. 4) Положение средней ниже линии нуля говорит о господстве на рынке в данный момент медведей. В это время лучше находиться в короткой позиции — продавать. 5) Когда средняя колеблется долгое время возле линии нуля, то на рынке появляется возможность резкого выхода в ту или иную сторону. Будьте готовы совершить сделку. Схождение средней к линии нуля после резких колебаний вверх и вниз предупреждает о возможности изменения уровня цен, выхода из зоны консолидации. 6) Пересечение средней с линией нуля. Подает сигналы покупки, если средняя пересекает линию нуля снизу вверх, и сигналы продажи, если средняя пересекает линию нуля сверху вниз. Б) Сигналы, подаваемые непосредственно индикатором 1) Находим ключевые точки, соответствующие экстремальным значениям индикатора Канат. На графике индикатора они отмечены толстыми вертикальными линиями, а на графике цены — черными кружками. Если индикатор занял крайнее верхнее положение, то оптимизм быков находится на пике своих возможностей. Это сигнал продажи. Если же Канат находится в крайней нижней точке, это служит сигналом для покупки. Наилучшие сигналы Канат дает на сильном тренде, предупреждая о крайних точках, соответствующих в терминологии осцилляторов зонам перекупленности и перепроданности. Это правило не работает на флэтовом рынке, когда небольшие изменения цен оказывают значительное воздействие на динамику индикатора. 2) Бычье расхождение и медвежье схождение. Проверяется рассматриванием двух рядом стоящих значений индикатора и цены. Как правило, этот сигнал предвосхищает динамику цен на короткий промежуток времени. В) Сигналы, подаваемые взаимодействием Каната и средней по этому индикатору 1) Если динамика средней и индикатора разнонаправленны, то это говорит о слабеющим тренде. 2) Положение индикатора длительное время ниже средней говорит о силе медвежьего тренда. Но если после этого индикатор поднимается над средней, будьте готовы к развороту рынка. Настала пора покупать. 3) Если Канат длительное время находится выше средней, то силен бычий тренд. При первом падении индикатора ниже средней приготовьтесь к продаже — возможно скорое падение цен. 4) Покупайте, когда средняя и Канат движутся вверх, причем средняя имеет положительное значение. Продавайте, когда средняя и Канат снижаются при значениях средней ниже нуля. Г) Сигналы от пересечения двух средних (на коротких графиках — средние с порядками 8 и 34) 1) Сигнал на покупку возникает при пересечении короткой средней более длинной снизу вверх. 2) Продавать следует после пересечения короткой средней более длинной сверху вниз. Рассмотрим, как работают вышеописанные правила на пятиминутном графике USD/DEM (рис. 2.118). ![]() Рис. 2.118. Пример анализа индикатора Канат Здесь мы видим сигналы пересечения двух средних. Белыми кружками отмечены сигналы покупки, черными — продажи. Эти сигналы действительны в течение получаса. Медвежье схождение дважды подавало сигналы о приостановке или развороте медвежьего тренда. Но оба раза эффект расхождения был краткосрочен. В заключение произошел важный прорыв линии поддержки, связанный с ослаблением быков. Самым значимым сигналом была динамика средней с порядком 34. Факт пересечения средней (34) линии нуля сверху вниз отмечен квадратом. Это сигнал начала медвежьей тенденции. На этом пятиминутном графике видно, что рынок практически все время был медвежьим (средние и индикатор находились преимущественно ниже нуля). Сигналы медвежьего схождения и бычьего расхождения были верны, но немного запаздывали. Экстремальные значения индикатора достаточно хорошо показывали крайние моменты движения цены. ![]() |
![Иллюстрация к книге — Малая энциклопедия трейдера [img_276.jpg] Иллюстрация к книге — Малая энциклопедия трейдера [img_276.jpg]](img/book_covers/086/86554/img_276.jpg)
![Иллюстрация к книге — Малая энциклопедия трейдера [img_277.jpg] Иллюстрация к книге — Малая энциклопедия трейдера [img_277.jpg]](img/book_covers/086/86554/img_277.jpg)
![Иллюстрация к книге — Малая энциклопедия трейдера [img_278.jpg] Иллюстрация к книге — Малая энциклопедия трейдера [img_278.jpg]](img/book_covers/086/86554/img_278.jpg)
![Иллюстрация к книге — Малая энциклопедия трейдера [img_279.jpg] Иллюстрация к книге — Малая энциклопедия трейдера [img_279.jpg]](img/book_covers/086/86554/img_279.jpg)