Книга Залоговик. Все о банковских залогах от первого лица, страница 43 – Николай Вольхин

Авторы: А Б В Г Д Е Ж З И Й К Л М Н О П Р С Т У Ф Х Ч Ш Ы Э Ю Я
Книги: А Б В Г Д Е Ж З И Й К Л М Н О П Р С Т У Ф Х Ц Ч Ш Щ Ы Э Ю Я
Бесплатная онлайн библиотека LoveRead.me

Онлайн книга «Залоговик. Все о банковских залогах от первого лица»

📃 Cтраница 43
Идентификация металлопроката

Стандарты маркировки металлопроката утверждены ГОСТ 7566-94, Межгосударственным стандартом «Металлопродукция. Приемка, маркировка, упаковка, транспортирование и хранение». При визуальном осмотре идентификационные признаки и параметры металлопроката позволяют определить:

• таблички завода-изготовителя на внутренней части трубы;

• ярлыки завода-изготовителя, прикрепляемые к связкам/рулонам;

• прокатная маркировка либо цвет несмываемой краски [108] для арматуры;

• маркировочная карта или ярлык на упаковках листов или широкополосном металлопрокате.

3.1.3. Лесоматериалы

В начале проекта по кредитованию ОАО «Соломбальский ЦБК» залоговой службе было озвучено, что предприятием в залог предлагается «баланс». Будучи главным специалистом, я недоумевал, как могут заложить «баланс»? Может быть, пакет акций или долю в праве? Поездка в Архангельск убедила меня, что «баланс» может не только быть залогом, но и иметь свои особенности. Основные из них – это классификация лесоматериалов и его пересчет.

Классификация лесоматериалов

На основании договора аренды лесного участка или договора купли-продажи лесных насаждений лесопользователи имеют право на рубку и заготовку древесины. Так как одновременно с лесоматериалами в залог может быть предложено и право аренды на лесной участок, имеет смысл отметить, что, согласно ст. 5 ФЗ «О введении в действие Лесного кодекса Российской Федерации» № 201-ФЗ от 04.12.2006, в случае если государственный кадастровый учет арендуемого участка лесного фонда не осуществлялся, арендатор не вправе отдавать арендное право в залог.

Заготовленная древесина по технологии заготовки подразделяется на сортименты и хлысты. Сортимент [109] – круглый лесоматериал определенного назначения. Хлыст – ствол дерева, отделенный от корневой части (пня) и очищенный от сучьев. Сортиментная технология лесозаготовки является преобладающей в РФ. Она предусматривает, что лесопользователь непосредственно при заготовке древесины раскоряживает стволы на сортименты, то есть на бревна, соответствующие требованиям покупателей. Хлыстовая технология отличается от сортиментной тем, что с лесосеки древесину вывозят в хлыстах.

Классификацию заготовленной древесины (сортиментов) по назначению определяет ГОСТ 17462-84, Межгосударственный стандарт «Продукция лесозаготовительной промышленности. Термины и определения [110]». Пример сортиментов по назначению:

• бревна для столбов – бревна для производства опор, линий связи и электропередач, а также свай;

• гидростроительные бревна – бревна для изготовления гидротехнических сооружений, свай и элементов мостов;

• рудничная стойка (рудстойка) – бревна, используемые для крепления горных выработок;

• дрова – бревна, используемые в качестве топлива или для производства других видов древесного топлива (брикетов, древесного угля и т. д.) и др.


Для того чтобы залоговик на месте смог определить соответствие предлагаемого к залогу имущества определенному виду сортимента, конкретные параметры сортимента смотрят в профильных ГОСТах. Например, ГОСТ 9462-88, Межгосударственный стандарт «Лесоматериалы круглые лиственных пород. Технические условия» и ГОСТ 9463-88, Межгосударственный стандарт «Лесоматериалы круглые хвойных пород. Технические условия» содержат технические требования и размеры следующих видов сортиментов:

• строительные бревна – используемые в строительстве без продольной распиловки;

• пиловочник лиственный/хвойный – бревна для производства пиломатериалов, включая тарные пиломатериалы;

• фанерный кряж – бревна для производства шпона и фанеры;

• спичечный кряж – бревна для производства спичек;

• балансы – бревна для производства целлюлозы, древесной массы, древесных плит, гидролизного производства и других видов продукции химической переработки древесины.

Методы расчета объема лесоматериалов

При первом посещении лесопромышленного склада или заготовительного пункта целлюлозно-бумажного комбината у залоговика может сложиться впечатление, что посчитать объемы сортимента, складированного в штабелях, – непосильная задача. Все же это не так. Технологии пересчета лесоматериалов зафиксированы в ГОСТ Р 52117-2003, Национальный стандарт Российской Федерации «Лесоматериалы круглые. Методы измерений [111]». Приведу наиболее простые для практического применения методы измерений.

Когда есть возможность провести измерение каждого бревна в штабеле, используют поштучные методы измерений объема лесоматериалов, позволяющие получить точный результат.


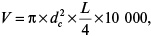
А.-Метод срединного сечения.

Вычисление объема бревна без коры V, куб. м, проводят по формуле:

Иллюстрация к книге — Залоговик. Все о банковских залогах от первого лица [i_146.jpg]

где dc – срединный диаметр бревна без коры бревна, см;

L – длина бревна, м.


Срединный диаметр измеряют без коры на половине длины бревна. Измерение диаметра бревна без учета коры показано на рис. 3.3.

Иллюстрация к книге — Залоговик. Все о банковских залогах от первого лица [i_147.jpg]

Рис. 3.3. Измерение диаметра бревна


Б.-Метод усеченного конуса.

Вычисление объема бревна без коры V, куб. м, проводят по формуле:

Иллюстрация к книге — Залоговик. Все о банковских залогах от первого лица [i_148.jpg]

где d – диаметр бревна в верхнем торце без коры, см;

D – диаметр бревна в нижнем торце без коры, см;

L – длина бревна, м.


В общем случае время осмотра залога ограниченно, поэтому целесообразнее применение групповых методов измерения объема лесоматериалов.

Вход
Поиск по сайту
Ищем:
Календарь