Книга Залоговик. Все о банковских залогах от первого лица, страница 44 – Николай Вольхин

Авторы: А Б В Г Д Е Ж З И Й К Л М Н О П Р С Т У Ф Х Ч Ш Ы Э Ю Я
Книги: А Б В Г Д Е Ж З И Й К Л М Н О П Р С Т У Ф Х Ц Ч Ш Щ Ы Э Ю Я
Бесплатная онлайн библиотека LoveRead.me

Онлайн книга «Залоговик. Все о банковских залогах от первого лица»

📃 Cтраница 44

В.-Метод определения объема бревен в штабеле, сформированном на земле.

Для определения объема (куб. м) штабеля бревен сначала измеряют складочный объем штабеля. Складочный объем штабеля бревен – это V, включающий объем древесины, объем коры и объем пустот между бревнами штабеля.

Складочный объем штабеля бревен куб. м, вычисляют по формуле:

Иллюстрация к книге — Залоговик. Все о банковских залогах от первого лица [i_149.jpg]

где H – высота штабеля, м;

B – ширина штабеля, м;

L – длина штабеля, м.


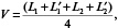
Длину штабеля L измеряют вдоль обеих (передней и задней) торцевых сторон штабеля с вычислением среднего значения по формуле:

Иллюстрация к книге — Залоговик. Все о банковских залогах от первого лица [i_150.jpg]

Параметры измерений штабеля сортиментов приведены на рис. 3.4. Конечной целью вычислений является плотный объем лесоматериалов в штабеле, то есть без коры и пустот. Для перевода полученного складочного объема штабеля в «плотный» объем применяют соответствующий коэффициент полнодревесности по таблицам согласно ГОСТ P 52117-2003.

Иллюстрация к книге — Залоговик. Все о банковских залогах от первого лица [i_151.jpg]

Рис. 3.4. Измерение параметров штабеля балансов


Г.-Метод определения объема бревен в штабеле, погруженном на железнодорожный транспорт или автомобили.

Складочный объем штабеля вычисляют как сумму объемов прямоугольной и суженной частей по формуле:

Иллюстрация к книге — Залоговик. Все о банковских залогах от первого лица [i_152.jpg]

где L – номинальная (то есть без припусков на концах бревна) длина бревен в штабеле, м;

B – ширина штабеля в транспортном средстве/полувагоне, м. Определяется равной расстоянию между стойками, ограждающими штабель;

Hср – средняя высота прямоугольной части штабеля, м;

hср – средняя высота суженной части штабеля, м.


Для перевода складочного объема штабеля в «плотный» объем применяют коэффициент полнодревесности согласно ГОСТ P 52117-2003. Пример коэффициентов полнодревесности штабелей бревен, применяемых при длине сортиментов 3 м и более для штабелей, сформированных на земле, приведен в табл. 3.4.


Табл. 3.4. Пример коэффициентов полнодревесности штабелей бревен

Иллюстрация к книге — Залоговик. Все о банковских залогах от первого лица [i_153.jpg]

3.1.4. Уголь

Обеспечение кредитного продукта в виде угля в подавляющем большинстве случаев оформляется как залог товаров в обороте с присущими данному типу обеспечения особенностями. Наряду с этим залог угля нетривиален и как тип имущества. Общие понятия и виды углей определяет ГОСТ 17070-87, Межгосударственный стандарт «Угли. Термины и определения [112]». Детализированная квалификация углей приведена в ГОСТ 25543-88, Межгосударственный стандарт «Угли бурые, каменные и антрациты. Классификация по генетическим и технологическим параметрам [113]». В табл. 3.5 укрупненно указаны марки и группы углей в зависимости от их технологических свойств. Классификация приведена согласно ГОСТ 25543-88 и стандарту США – D388-12.

На уголь и продукты переработки угля согласно Постановлению Правительства РФ № 982 от 01.12.2009 не требуется оформление обязательных сертификатов соответствия либо деклараций о соответствии. Решение Комиссии Таможенного союза «О Едином перечне продукции, подлежащей обязательной оценке (подтверждению) соответствия в рамках Таможенного союза с выдачей единых документов» № 620 от 07.04.2011 также не содержит требований по обязательной сертификации угля.

Оборот угля на рынке РФ подразумевает добровольное оформление производителями сертификатов соответствия (бланк голубого цвета системы Росстандарта для подтверждения характеристик и химического состава угля на соответствие требованиям ГОСТ). Следующим уровнем по анализу свойств угля являются развернутые исследования по стандартам ИСО международно признанными компаниями-сюрвейерами, например SGS Group, www.sgs.com или Incolab Services, www.incolab.com. Однако профессиональные участники рынка отмечают, что при закупке значительных партий угля покупатели стараются проводить встречный анализ его свойств на дату исследования в собственных лабораториях.

В качестве характеристик угля применяются такие показатели, как влага, зола, летучие вещества, сера, низшая и высшая теплота сгорания, фракционность. Фракционность угля указывает на величину отдельных кусков. Возможные размеры фракций: П – (плита) более 100 мм, К – (крупный) 50–100 мм, О – (орех) 25–50 мм, М – (мелкий) 13–25 мм, С – (семечка) 6–13 мм, Ш – (штыб) 0–6 мм, Р – (рядовой) шахтный 0–200 мм, карьерный 0–300 мм. В зависимости от склонности к самовозгоранию ископаемые угли делятся на две категории: А – опасные (бурые и каменные длиннопламенные) и Б – устойчивые (антрацит, тощие каменные угли).

Определение объема угля

Хранение угля осуществляют в штабелях (гуртах). При хранении угля на складах параметры складов, как правило, заранее известны, и объем угля может быть вычислен залоговой службой без обладания специальными навыками. При складировании штабелей угля непосредственно на территории разрезов для точного определения объемов добытого угля может потребоваться привлечение маркшейдерской [114] организации. Результатом определения объема угля в этом случае является акт маркшейдерского замера.

Производство маркшейдерских работ – лицензируемый вид деятельности согласно ФЗ «О лицензировании отдельных видов деятельности» № 99-ФЗ от 04.05.2011 Приказ Минтопэнерго РФ «Об утверждении Инструкции по учету добычи угля (сланца) и продуктов обогащения» № 26 от 21.01.1993 регламентирует в форме УПД-36 состав и содержание сведений в акте маркшейдерского замера угля.

Вход
Поиск по сайту
Ищем:
Календарь