Книга Занимательная химия для детей и взрослых, страница 59 – Илья Леенсон

Авторы: А Б В Г Д Е Ж З И Й К Л М Н О П Р С Т У Ф Х Ч Ш Ы Э Ю Я
Книги: А Б В Г Д Е Ж З И Й К Л М Н О П Р С Т У Ф Х Ц Ч Ш Щ Ы Э Ю Я
Бесплатная онлайн библиотека LoveRead.me

Онлайн книга «Занимательная химия для детей и взрослых»

📃 Cтраница 59

В случае кратных связей одна из самых прочных – тройная связь N≡N между двумя атомами азота (945,3 кДж/моль). Известны и более прочные связи. Так, прочность четверной связи между атомами хрома в дианионе [Cl3(H2O)Cr == Cr(H2O)Cl3]2– оценивается в 1200 кДж/моль! Самая прочная связь между атомами разных элементов в молекуле угарного газа СО (1070,3 кДж/моль). Вероятно, самая слабая ковалентная связь между атомами азота в молекуле азотистого ангидрида N2O3 (40,6 кДж/моль); она почти в 25 раз слабее связи между теми же атомами в молекуле N2. Недаром азотистый ангидрид (в чистом виде его можно получить в виде голубого порошка при пропускании электрических искр через жидкий воздух при температуре ниже –190 °С) начинает разлагаться на NO и NO2 уже ниже 0 °С. При этом образуется раствор зеленого цвета (смешение синего цвета N2O3 и желтобурого цвета NO2).

Слабыми (по сравнению с ковалентными) традиционно считаются водородные связи. Однако водородная связь между HF и ионом F– (150 кДж/моль) значительно прочнее ковалентных связей в оксидах азота N2O3 и N2O4 (40,6 и 56,9 кДж/моль). Но, конечно, самые слабые связи (вандерваальсовы) существуют между неполярными молекулами и между атомами благородных газов. В 1993 г. было доказано существование молекул Не2, в которых энергия связи между атомами гелия равна всего лишь 0,008 Дж/ /моль. Это в десятки миллионов раз меньше, чем в случае типичных ковалентных связей! Атомы гелия в этой молекуле находятся в среднем на расстоянии 6,2 нм друг от друга, тогда как длина типичной химической связи находится в пределах 0,1–0,3 нм. Это общая закономерность: обычно чем связь слабее, тем она длиннее, и наоборот. И еще одна очевидная закономерность: чем больше атомы, тем больше расстояние между их центрами в молекуле. Так, в полиядерных комплексных соединениях длина связи между атомами рения достигает 0,309 нм, осмия – 0,315 нм, палладия – 0,433 нм.

Конечно, «молекулы» типа Не2 могут существовать лишь при исключительно низких температурах, порядка 0,0001 К, иначе тепловое движение разрушает такие непрочные структуры. При дальнейшем понижении температуры возможно образование еще более слабых и длинных связей. Так, группа французских физиков сообщила, что при температуре 10 мкК (0,00001 К) они получили двухатомные молекулы гелия размером от 8 до 60 нм, что уже соизмеримо с размерами вирусов!

Самая короткая одинарная связь между атомами водорода и дейтерия в молекуле H–D (0,074166 нм; обратите внимание на точность измерения!). Чуть длиннее связи в молекулах D2 и Н2. Самая короткая связь между атомами кислорода в молекуле FО– – ОF (0,1217 нм), а самая длинная – в трехчленном цикле с двумя атомами кислорода, дифтордиоксиране CO2F2 (0,1578 нм). Очень сильно отличаются самая короткая и самая длинная связь азот – азот: 0,10976 нм в N2 и 0,218 нм в димере N2O2.

Для органической химии очень важны связи углерод – углерод. В среднем энергия связи С–С составляет 300–400 кДж/моль; например, в молекуле этана 368,2 кДж/моль. Самая же прочная связь С–С (600 кДж/моль) в молекуле дициана NC–CN, а самая слабая (50,2 кДж/моль) между двумя трифенилметильными радикалами в молекуле гексафенилэтана (С6Н5)3С–С(С6Н5)3. При комнатной температуре такая молекула существовать не может, и в этих условиях рекомбинация двух трифенилметильных радикалов (в одном из них неспаренный электрон локализуется на концевом атоме углерода бензольного кольца) приводит к другой структуре – хиноидной, в которой одно из колец перестает быть ароматическим:

Иллюстрация к книге — Занимательная химия для детей и взрослых [autogen_ebook_id96.jpg]
Равновесие между трифенилметильными радикалами и их стабильным димером

Средние, а также рекордные длины связей С–С (нм) приведены в таблице (цифры в скобках соответствуют номеру структуры на рисунке):

Иллюстрация к книге — Занимательная химия для детей и взрослых [autogen_ebook_id97.jpg]
Иллюстрация к книге — Занимательная химия для детей и взрослых [autogen_ebook_id98.jpg]
Структуры 1—6

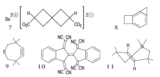
Исключительно сильно могут меняться и углы между связями углерод – углерод. Еще в 1885 г. выдающийся немецкий химикорганик Адольф Иоганн Фридрих Вильгельм фон Байер создал теорию напряжения в циклических молекулах. С тех пор химики синтезировали множество соединений, которые когда-то считались принципиально невозможными, в том числе из-за сильного искажения углов между связями. Так, в тетраэдрически связанном атоме углерода, например в молекуле метана СН4, углы между связями должны быть равны 109,4°. Отклонения обычно невелики, в пределах 109–113°. А каковы рекорды? Минимальное значение угла между связями С–С–С (50,7°) зафиксировано в производном циклопропена (3), а максимальное (127,6°) – в бариевой соли спиро[3.3]гептандикарбоновой кислоты (7); это угол между двумя четырехчленными циклами, соединенными вершинами.

В случае двойной связи С=С угол у одного из этих атомов углерода равен обычно 116–122°. Таков, например, угол Н–С–Н в молекуле этилена Н2С=СН2. Но и здесь химики синтезировали необычные молекулы. Так, в соединении (3) угол при двойной связи равен лишь 61,9°, а в 1,2-дигидроциклобута[а]циклопропа[с]бензоле (8) – 176,9°! То есть угол С–С–С у атома углерода, принадлежащего одновременно трех– и шестичленному циклам, почти не отличается от 180°, и эти три атома лежат фактически на одной прямой, хотя два из них связаны двойной связью. Факт удивительный. Не менее удивительно, что авторы статьи – семь работающих в Германии химиков – сумели получить хорошо оформленные кристаллы этого вещества (а оно плавится при температуре –12 °С), чтобы изучить их структуру рентгенографическим методом.

Наконец, в ацетиленовых соединениях угол при тройной связи должен быть равен 180° (линейная молекула), однако в производном тиациклогептина (9) этот угол сильно искажается, уменьшаясь до 145,8°.

Двойные связи С=С могут не только растягиваться и сжиматься, но и скручиваться – сильнее всего в соединениях (10) и (11). Так, в молекуле (10) двугранный угол, образованный циклическими структурами, равен 49,7°. Именно эти циклы с объемистыми заместителями, которые отталкиваются друг от друга, и приводят к скручиванию двойной связи. В соединении же (11) скручивание связи (двугранный угол 49,0°) происходит из-за образования циклической структуры.

Иллюстрация к книге — Занимательная химия для детей и взрослых [autogen_ebook_id99.jpg]
Структуры 7—11

Молекулы «под напряжением». Взрывчатые вещества

Сильные искажения длин химических связей и углов между ними приводят к напряжениям в молекулах – точно так же, как если бы атомы были соединены очень тугими пружинками и мы стали бы эти пружинки сжимать, растягивать и скручивать. В результате внутренняя энергия такой напряженной молекулы может стать настолько большой, что структура не выдержит и «взорвется»: молекула развалится на куски, высвободив энергию напряжения. Так, избыточная энергия в известном еще с XIX в. циклопропане С3Н6 равна 113 кДж/моль или 37,7 кДж/моль в расчете на один атом углерода. Одно из самых больших значений избыточной энергии – свыше 2000 кДж/моль – принадлежит знаменитому букминстерфуллерену С60 (12), за открытие которого была присуждена Нобелевская премии по химии за 1996 г. Но так как в этой молекуле содержится 60 атомов углерода, то на один атом приходится все же меньше, чем в циклопропане, – 33,5 кДж/моль. Хит-парад самых напряженных из известных молекул включает еще 9 соединений (структуры 13–21). В 1982 г. американские химики К. Б. Виберг и Ф. Х. Уокер осуществили сенсационный синтез [1.1.1]пропеллана (структура 13), энергия напряжения в нём – 410 кДж/моль (82 кДж/моль на один атом С). Тем не менее это соединение стабильно при комнатной температуре, а его название отражает форму молекулы, которая похожа на пропеллер. Интересно, что удачная попытка синтеза этого вещества была предпринята только после того, как методами квантовой химии была доказана возможная стабильность такого трициклического соединения. Предпринятый Вибергом год спустя синтез родственных структур (14) и (15) показал, что они нестабильны при комнатной температуре, а тетрацикл (5) в этих условиях быстро полимеризуется.

Вход
Поиск по сайту
Ищем:
Календарь