Книга Занимательная химия для детей и взрослых, страница 61 – Илья Леенсон

Авторы: А Б В Г Д Е Ж З И Й К Л М Н О П Р С Т У Ф Х Ч Ш Ы Э Ю Я
Книги: А Б В Г Д Е Ж З И Й К Л М Н О П Р С Т У Ф Х Ц Ч Ш Щ Ы Э Ю Я
Бесплатная онлайн библиотека LoveRead.me

Онлайн книга «Занимательная химия для детей и взрослых»

📃 Cтраница 61

Наиболее мощная взрывчатка, производящаяся с 1955 г. в промышленном масштабе, – октоген (тетраметилентетранитрамин, НМХ, систематическое название 1,3,5,7-тетранитро-1,3,5,7-тетраазоциклооктан). Октоген довольно стабилен к нагреву, поэтому его используют при взрывных работах в высокотемпературных условиях, например, в глубоких скважинах. Смесь октогена с тротилом (октол) – компонент твердых ракетных топлив.

Абсолютный же рекорд держит синтезированный в США в 1990 г. гексанитроизовюрцитан (CL20). Ударная волна при его взрыве распространяется в 30 раз быстрее звука!

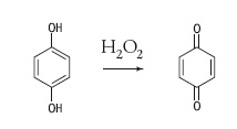
В заключение этого раздела отметим, что взрывчатые смеси существовали, оказывается, задолго до появления на Земле человека. Небольшой (1–2 см в дину) оранжево-синий жук-бомбардир Branchynus explodans защищается от нападений весьма остроумным способом. В небольшом мешке в его теле накапливается концентрированный раствор пероксида водорода. В нужный момент этот раствор быстро смешивается с ферментом каталазой. Протекающую при этом реакцию наблюдал каждый, кто обрабатывал порезанный палец аптечным 3%-ным раствором перекиси водорода: раствор буквально вскипает, выделяя пузырьки кислорода. У жука же концентрация пероксида значительно выше. Поэтому реакция идет намного быстрее, причем смесь сильно нагревается (тепловой эффект разложения Н2О2 – 95 кДж/моль). У жука одновременно с этой идет еще одна реакция, катализируемая ферментом пероксидазой: Н2О2 окисляет гидрохинон до бензохинона (тепловой эффект этой реакции – более 200 кДж/моль):

Иллюстрация к книге — Занимательная химия для детей и взрослых [autogen_ebook_id106.jpg]
Выделяющейся энергии достаточно, чтобы быстро нагреть раствор до 100 °С и даже частично испарить его. А взрыв как раз и вызывается очень быстро идущей экзотермической реакцией. Реакция у жука идет настолько быстро, что едкая смесь, разогретая до высокой температуры, выстреливается с громким звуком во врага. Если струя, масса которой всего полграмма, попадет на кожу человека, она вызовет небольшой ожог.

Диковинки в мире молекул

Говоря о молекулах-рекордсменах в разных областях их «соревнований», нельзя, конечно, не сказать о том, какая молекула самая большая. Если определить молекулу как группу атомов, связанных ковалентными связями, то самая большая молекула была в буквальном смысле… выкопана из земли. Произошло это в Южной Африке на руднике «Премьер», где 25 января 1905 г. нашли огромный алмаз массой 621,2 г. Этот прозрачный и почти совершенный кристалл (он получил название «Куллинан» в честь президента компании Томаса Куллинана) вполне соответствовал определению молекулы (только на поверхности кристалла свободные валентности углеродных атомов насыщаются атомами водорода и кислорода, но их тоже можно считать в составе молекулы). К сожалению, эта молекула-рекордсменка просуществовала всего три года: в 1908 г. ее разделили на 9 больших и 95 маленьких «молекул» (самые большие из них украшают британскую корону и скипетр).

Иллюстрация к книге — Занимательная химия для детей и взрослых [autogen_ebook_id107.jpg]

Эта самая большая в мире «молекула» до обработки содержала 3,1 · 10 25 атомов углерода

Самая же большая и тяжелая из «обычных» молекул – мышечный белок титин, состоящий из последовательности 26 926 аминокислот и имеющий молекулярную массу 2 993 000; его длина превышает 1 мкм (1000 нм), тогда как размеры обычных молекул измеряются долями нанометра. Немногим уступают титину рибосомы, которые играют ключевую роль в биосинтезе белков. Так, рибосомы кишечной палочки состоят из связанных в единое целое трех нитей РНК и 55 белковых молекул с суммарной молекулярной массой около 2 700 000. Из природных продуктов рекорд по длине углеродной цепи принадлежит омега-аминокислоте (27), молекула которой содержит 62 связанных друг с другом атомов углерода. Это вещество было выделено из микроорганизмов стрептомицетов (по-гречески streptos и значит «цепочка»). Сообщение об этом веществе появилось в 1996 г. в журнале Английского химического общества. Авторы статьи (четверо из пяти – японцы) назвали рекордсмена линейномицином В; он является антибиотиком и убивает как бактерии, так и грибки.

Иллюстрация к книге — Занимательная химия для детей и взрослых [autogen_ebook_id108.jpg]
Структура 27

Все это – молекулы природного происхождения. А на что способны химики-синтетики? Напомним, что речь идет о молекулах определенной длины, а не о смеси неопределенного состава типа полиэтилена. Тут химики природу обогнали. Соединение с самыми длинными молекулами было синтезировано в 1985 г. английскими химиками И. Биддом и М. Уайтингом. Это нонаконтатриктан С390Н782, предельный углеводород (алкан), содержащий цепочку из 390 углеродных атомов. Исследователей интересовало, как будут упаковываться такие длинные цепи при кристаллизации (гибкие углеводородные цепочки могут легко складываться). В отличие от алканов молекулы с чередующимися простыми и тройными связями (сопряженные полиины) жесткие. Подобные структуры обладают по сравнению с алканами высокой реакционной способностью, так что неудивительно, что рекорд здесь не обновлялся с 1972 г., когда было синтезировано вещество (С2Н5)3Si(CH≡CH)16Si(C2H5)3 с 32 атомами углерода в цепи. Эта цепочка, несмотря на ее стабилизацию концевыми триэтилсилильными группами, оказалась весьма нестабильной. Только соединение (СН3)3С–(СН≡СН)12–С(СН3)3 с 24 атомами углерода в полииновой цепи и с концевыми трет- бутильными группами было достаточно стабильным. Чем интересны такие вещества? Полииновая сопряженная цепочка является хорошим проводником и может в принципе служить крошечной «проволочкой» для нанотехнологии. В 1996 г. удалось даже «припаять» к концам подобной проволочки «электроды» в виде атомов рения, каждый из которых связан с молекулой оксида азота NО и молекулами циклопентадиенила Ср и трифенилфосфина Р(С6Н5)3:

Cp(NO)P(C6H5)3Re–(СН≡СН)12–ReР(C6H5)3(NO)Cp.

Оказалось, что электроны действительно могут переноситься от одного атома рения к другому через цепочку из 24 атомов углерода. Отметим, что небольшие добавки, например йода к полиацетиленовым молекулам, в миллионы раз увеличивают их электропроводность. Работы в этом направлении увенчались присуждением в 2000 г. Нобелевской премии по химии.

Особый интерес представляют длинные цепи, свернутые в кольца, – макроциклы. Самый большой из них (46 атомов углерода и кислорода в цикле; структура 28) описан в 1990 г. в японском «Химико-фармацевтическом бюллетене». Авторы (среди них – ни одного англичанина) выделили это соединение из морской губки Theonella swinhoeli и потому назвали его изосвинхолидом. Оно является сильным клеточным ядом. Следует отметить, что в области макроциклов природа далеко отстала от химиков, которым удалось синтезировать кольца с 288 атомами углерода. Это циклооктаоктаконтадиктан С288Н576.

Иллюстрация к книге — Занимательная химия для детей и взрослых [autogen_ebook_id109.jpg]
Вход
Поиск по сайту
Ищем:
Календарь