Книга Занимательная химия для детей и взрослых, страница 66 – Илья Леенсон

Авторы: А Б В Г Д Е Ж З И Й К Л М Н О П Р С Т У Ф Х Ч Ш Ы Э Ю Я
Книги: А Б В Г Д Е Ж З И Й К Л М Н О П Р С Т У Ф Х Ц Ч Ш Щ Ы Э Ю Я
Бесплатная онлайн библиотека LoveRead.me

Онлайн книга «Занимательная химия для детей и взрослых»

📃 Cтраница 66
Иллюстрация к книге — Занимательная химия для детей и взрослых [autogen_ebook_id138.jpg]

Октаэтилпорфирин ( комплекс с платиной )

Иллюстрация к книге — Занимательная химия для детей и взрослых [autogen_ebook_id139.jpg]
Структура 48

Яды и токсины

Ядовитые вещества с древних времен привлекали к себе особое внимание. С ними связано множество легенд и преданий. Так, белому мышьяку (оксид As2O3) в течение многих веков сопутствовала слава «порошка для наследников», а в Венеции при дворе правителей держали специалистов-отравителей. Бесчисленны и «литературные жертвы» этого элемента. Мышьяком, как правило, травила героев в своих детективах Агата Кристи. Вместе с тем давно известно, что соединения, ядовитые в больших дозах, могут быть целебными в малых, о чем говорил еще в первой половине XVI в. Парацельс. Например, традиционное орудие убийц – оксид мышьяка в небольших дозах (до 5 мг) полезен; его назначают внутрь в качестве общеукрепляющего и тонизирующего средства. Недаром алхимический символ мышьяка – змея – вошел составной частью в герб медицины.

Иллюстрация к книге — Занимательная химия для детей и взрослых [autogen_ebook_id140.jpg]

Алхимический знак

Иллюстрация к книге — Занимательная химия для детей и взрослых [autogen_ebook_id141.jpg]

Современный символ и символ мышьяка медицины

А какой яд самый сильный, «самый ядовитый»? Ответить на этот вопрос не так-то просто по разным причинам. Для характеристики токсичности того или иного соединения чаще всего используют понятие летальной дозы LD50, которая вызывает гибель 50 % подопытных животных. Как правило, дозу измеряют массой яда, приходящегося на 1 кг массы животного. Однако использование понятия летальной дозы имеет свои ограничения. Во-первых, величину LD50, определенную, например, для мышей, очень редко можно переносить на других животных, в том числе и на человека. Дело в том, что у разных животных биологическая реакция на один и тот же яд может сильно различаться. Например, ядовитость никотина для человека примерно такая же, как у цианистого калия (50–100 мг или 1–2 капли), тогда как козы и косули вообще невосприимчивы к никотину. Во-вторых, экспериментально определенная (например, на мышах) доза LD50 зависит от того, введен ли яд подкожно, внутривенно, внутримышечно либо перорально (через пищевой тракт). Наконец, даже заведомо нелетальная доза может привести к серьезному поражению того или иного органа, особенно в долгосрочной перспективе, и вызвать в конечном счете гибель организма. Тем не менее величину LD50 широко используют на практике, в том числе для сравнения токсичности разных классов химических соединений.

Самые ядовитые из известных веществ – это токсины (от греч. toxikon – «яд»), яды (обычно белковые), вырабатываемые бактериями, растениями или животными. Для них величину LD50 обычно выражают в микрограммах (миллионных долях грамма) на 1 кг массы животного (мкг/кг). Иногда приходится даже оперировать нанограммами (миллиардными долями грамма). Чемпионом среди токсинов является ботулинический токсин: для него LD50= 0,03 нг/кг = 0,00003 мкг/кг. Это в 300 млн раз меньше, чем для цианистого калия! Ботулин – белок с молекулярной массой 150 000, вырабатываемый бактериями Clostridium botulinum, которые размножаются в испорченных либо неправильно хранящихся продуктах питания (колбасах, консервах и др.) в отсутствие кислорода. Кстати, само название токсина происходит от греческого слова botulus – «колбаса». Смерть обычно наступает из-за паралича дыхательной мускулатуры. К счастью, этот токсин не переносит повышенных температур и разрушается при кулинарной обработке. Этим и объясняется сравнительно редкое отравление ботулином. А вот с токсином столбняка – вторым по ядовитости соединением (LD50 = 0,0001 мкг/кг) знакомы очень многие: его (в инактивированной форме) вводят во время прививок. Третье место по токсичности (LD50 = 0,019 мкг/кг) занимает β-бунгаротоксин, который вырабатывается в организме змеи бунгарос (она водится в Южной Азии). Почти равен ему по ядовитости дифтерийный токсин, вырабатываемый дифтерийными бактериями, для него LD50 = 0,024 мкг/кг. Для сравнения: величина LD50 для токсина скорпиона (титьютотоксина; от латинского названия одного из видов скорпионов Tityus serrulatus ) равна 9 мкг/кг, для токсина гремучей змеи Crotalus durissus terrificus (крототоксина) – 50 мкг/кг, для токсина очковой змеи (нейротоксина) – 75 мкг/кг, а смертельная для человека доза яда кобры составляет 200 мкг/кг.

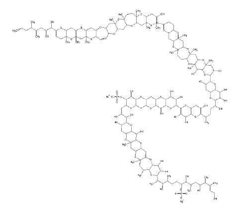
Из небелковых токсинов самые ядовитые выделены из морских организмов. Их молекулярная масса значительно меньше; так, у палитоксина (он относится к классу поликетидов) она равна «всего» 2679, а LD50 = 0,45 мкг/кг. Источник палитоксина – шестилучевые кораллы зоонтарии ( Palythoa toxica и др.), от латинского названия которых образован это термин. Не исключено, что в действительности палитоксин продуцируется не самими кораллами, а вирусом, находящимся в симбиозе с кораллами. Аборигены Таити и Гавайских островов издавна использовали зоонтарии для приготовления отравленного оружия.

Еще более ядовиты майтотоксин (LD50 = 0,05 мкг/кг) и сигуатоксин (LD50 = 0,35 мкг/кг), с химической точки зрения – поликетиды. Название первого происходит от «майто» – так на Таити называют черную рыбу-хирурга, из внутренностей которой этот токсин впервые был выделен в 1971 г. Сигуатоксин был выделен из одноклеточных жгутиковых организмов (динофлагеллятов), которые обитают в некоторых видах планктона. При размножении этих микроорганизмов в воде скапливаются вещества, окрашивающие ее в ржаво-красный цвет; это явление известно с древнейших времен и получило название «красный прилив». Оно сопровождается массовой гибелью рыб и других морских организмов, а также отравлениями людей, употребляющих в пищу море продукты (яд накапливается в рыбах и моллюсках). Сигуатоксин выделен также из внутренностей многих видов рыб, например мурены и макрели, а название этого токсина происходит от испанского ciguatera – болезни, вызванной попаданием в организм токсина при употреблении в пищу таких рыб.

Иллюстрация к книге — Занимательная химия для детей и взрослых [autogen_ebook_id142.jpg]
Палитоксин

Батрахотоксин (LD50 = 2 мкг/кг) относится к другому классу органических соединений – стероидным спиртам. Он выделен из кожных желез маленькой, размером всего 2–3 см, колумбийской древесной лягушки. (По-гречески «лягушка» – batrachos; в связи с этим можно вспомнить пародийную древнегреческую поэму «Батрахомиомахия», в переводе – «Война мышей и лягушек».) Индейцы ядом из этих лягушек смазывали наконечники стрел. В США для выделения из лягушек яда и последующей расшифровки его строения была организована специальная экспедиция в Колумбию.

Иллюстрация к книге — Занимательная химия для детей и взрослых [autogen_ebook_id143.jpg]
Вход
Поиск по сайту
Ищем:
Календарь