Онлайн книга «Занимательная химия для детей и взрослых»
|
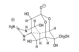
Примечательно, что организовала и непосредственно возглавила трудную и опасную экспедицию женщина, Марта Лэтам. Чтобы получить 11 мг яда, исследователям потребовалось выделить экстракт из кожи 5000 лягушек. Батрахотоксин, превосходящий по токсичности яд кураре, вызывает паралич сердца, дыхательной мускулатуры и мышц конечностей. В 1968 г. академик И. Л. Кнунянц и кандидат химических наук Н. А. Лошадкин опубликовали статью, в которой назвали батрахотоксин «самым сильным небелковым ядом в природе». Как видим, за прошедшие десятилетия он переместился по токсичности с первого места на четвертое. Один из самых знаменитых животных ядов (зоотоксинов) – тетродотоксин. Он содержится в коже и яйцах некоторых жаб, в яйцах калифорнийского тритона, в слюнных железах осьминога. Но наибольшую известность ему принесла рыба фугу, в которой яд содержится в яичниках и печени. Челюсти фугу имеют четыре долотовидных зуба, отсюда и название яда (от греч. tetra – «четыре» и odus – «зуб»). Фугу – излюбленное лакомство японцев, однако готовить блюда из нее дозволяется лишь поварам, обладающим особой лицензией, поскольку даже двухчасовое кипячение не разрушает яд. Для тетродотоксина LD50 = 10 мкг/кг, т. е 1 мг этого яда достаточно, чтобы убить человека. Тетродотоксин относится к нейротропным ядам. Его красивые молекулы, содержащие несколько циклов, действуют на вегетативную нервную систему. Они блокируют у нейронов проницаемость их мембран для ионов натрия, что практически мгновенно прерывает нервный импульс. В ряде стран на основе тетродотоксина производятся обезболивающие препараты. Растительные яды (фитотоксины) не такие сильные, как бактериальные и яды животного происхождения, и для них при оценке LD50 часто удобнее переходить к единицам мг/кг (1 мг = 1000 мкг). Из ядов растительного происхождения самый сильный – гликопротеин рицин (LD50 = 0,1 мг/кг), основной токсичный компонент бобов клещевины. Белковая часть рицина состоит из 560 аминокислотных остатков, полисахаридная составляет около 20 % молекулярной массы, которая равна 62 400. При попадании в организм рицин вызывает структурную перестройку клеточных мембран и нарушает внутриклеточный синтез белков. При попадании капелек рицина в легкие его токсичность примерно такая же, как у нервно-паралитического газа зарина; в ряде стран изучались способы боевого применения рицина в виде аэрозоля. Два хорошо известных растительных яда – никотин (LD50 = = 0,3 мг/кг) и стрихнин (LD50 = 0,75 мг/кг). Последний содержится в рвотных орешках (семена Strychnos nux vomica ). Оба яда относятся к алкалоидам. Регулярное вдыхание табачного дыма вызывает медленное, но неотвратимое разрушение органов человека. Вред курения становится особенно очевидным из того факта, что взрослого человека может убить инъекция никотина, выделенного из одной-единственной сигары! К алкалоидам относится и тубокурарин, основное действующее начало яда кураре, который содержится в растении хондодендроне войлочном. Этот яд аборигены Южной Америки также используют для смазывания стрел. Никотин ![]() Стрихнин ![]() В медицине широко применяется алкалоид атропин. Он содержится в красавке (Atropa belladonna), белене, дурмане и других растениях семейства пасленовых. Хотя атропин не так токсичен, как многие другие алкалоиды (для него LD50 = 400 мг/кг), именно этот яд – наиболее частая причина отравления в средних широтах. Дело в том, что маленькие дети часто принимают сладкие черные ягоды белладонны за вишневые и могут смертельно отравиться, съев всего несколько ягод. Сравнительно недавно в тропическом растении Dichapetalum cymosum была обнаружена очень ядовитая калиевая соль фторуксусной кислоты FCH2COOK. Это исключительно редкий случай нахождения в природе органического фторсодержащего соединения. Исследования показали, что ее токсичная доза сильно различается для разных животных: наиболее чувствительны собаки (LD50 = 0,07 мг/кг), значительно менее ядовит фторацетат калия для лошадей (1 мг/кг), крыс (7 мг/кг) и человека (до 10 мг/кг). Относительно простое строение имеют яды, содержащиеся в высших грибах. Из них один из самых токсичных – мускарин, который содержится в мухоморе красном (Amanita muscaria) и других грибах. Уже в ничтожных дозах порядка 0,001 мкг/кг мускарин снижает амплитуду и частоту сердечных сокращений, в больших дозах вызывает спазмы мышц, судороги, слюнотечение. Для человека при приеме внутрь LD50 = 0,7 мг/кг. ![]() Значительно сложнее устроена молекула бициклического октапептида α-аманитина, который содержится наряду с фаллоидином в бледной поганке (на самом деле существует несколько близких по структуре аманитинов, отличающихся радикалами R = Н, ОН или NН2). И если красный мухомор вряд ли спутаешь с другими грибами, то бледная поганка очень похожа на некоторые съедобные грибы – шампиньоны, поплавки и др. Поэтому отравление этим грибом составляет 90 % всех грибных отравлений. Для человека смертельная доза аманитина составляет 5–7 мг. Если учесть, что в одном грибе в среднем содержится 8 мг аманитина, станет понятным английское название бледной поганки – death cup, т. е. «чаша смерти». Признаки отравления – боли в животе, неукротимая рвота, понос с кровью. Интересно, что для лечения используют подкожные инъекции другого яда – атропина. В продуктах жизнедеятельности микроскопических (плесневых) грибов содержатся очень ядовитые микотоксины (от греч. mykes – «гриб»). Самые токсичные из них – пенитрем А (LD50 = 1 мг/кг), выделенный из плесени Penicillium crustosum, и афлатоксин В1 (LD50 = 1,7 мг/кг). При употреблении коровами кормов, загрязненных афлатоксином В1, высокотоксичный яд (в несколько измененной форме) выделяется с молоком. Всего известно более 15 различных афлатоксинов, которые являются основными загрязнителями пищевых продуктов. Из них афлатоксин В1 оказался самым мощным из известных печеночных канцерогенов, действие которого проявляется уже при дозах 0,01 мг/кг. В ряде стран Азии и Африки выявлена прямая корреляция между частотой заболеваемости раком печени и содержанием афлатоксинов в пище. Детальное изучение микотоксинов началось после массового отравления в Англии индеек, вызванного плесенью в арахисе, которым кормили птиц. Оказалось, что в плесени содержался афлатоксин В1. Этот же микотоксин привел к таинственной смерти нескольких археологов после вскрытия пирамиды Тутанхамона (так называемое «проклятие фараонов»). К счастью, вероятность съесть заметные количества микотоксинов мала благодаря инстинктивному отвращению человека к плесени и тошнотворному запаху пораженных ею продуктов. |
![Иллюстрация к книге — Занимательная химия для детей и взрослых [autogen_ebook_id144.jpg] Иллюстрация к книге — Занимательная химия для детей и взрослых [autogen_ebook_id144.jpg]](img/book_covers/076/76693/autogen_ebook_id144.jpg)
![Иллюстрация к книге — Занимательная химия для детей и взрослых [autogen_ebook_id145.jpg] Иллюстрация к книге — Занимательная химия для детей и взрослых [autogen_ebook_id145.jpg]](img/book_covers/076/76693/autogen_ebook_id145.jpg)
![Иллюстрация к книге — Занимательная химия для детей и взрослых [autogen_ebook_id146.jpg] Иллюстрация к книге — Занимательная химия для детей и взрослых [autogen_ebook_id146.jpg]](img/book_covers/076/76693/autogen_ebook_id146.jpg)
![Иллюстрация к книге — Занимательная химия для детей и взрослых [autogen_ebook_id147.jpg] Иллюстрация к книге — Занимательная химия для детей и взрослых [autogen_ebook_id147.jpg]](img/book_covers/076/76693/autogen_ebook_id147.jpg)
![Иллюстрация к книге — Занимательная химия для детей и взрослых [autogen_ebook_id148.jpg] Иллюстрация к книге — Занимательная химия для детей и взрослых [autogen_ebook_id148.jpg]](img/book_covers/076/76693/autogen_ebook_id148.jpg)
![Иллюстрация к книге — Занимательная химия для детей и взрослых [autogen_ebook_id149.jpg] Иллюстрация к книге — Занимательная химия для детей и взрослых [autogen_ebook_id149.jpg]](img/book_covers/076/76693/autogen_ebook_id149.jpg)
![Иллюстрация к книге — Занимательная химия для детей и взрослых [autogen_ebook_id150.jpg] Иллюстрация к книге — Занимательная химия для детей и взрослых [autogen_ebook_id150.jpg]](img/book_covers/076/76693/autogen_ebook_id150.jpg)
![Иллюстрация к книге — Занимательная химия для детей и взрослых [autogen_ebook_id151.jpg] Иллюстрация к книге — Занимательная химия для детей и взрослых [autogen_ebook_id151.jpg]](img/book_covers/076/76693/autogen_ebook_id151.jpg)
![Иллюстрация к книге — Занимательная химия для детей и взрослых [autogen_ebook_id152.jpg] Иллюстрация к книге — Занимательная химия для детей и взрослых [autogen_ebook_id152.jpg]](img/book_covers/076/76693/autogen_ebook_id152.jpg)